阿摩線上測驗
登入
首頁
>
工程數學(應用數學, 線性代數、微分方程、複變函數與機率)
>
101年 - 101 地方政府特種考試_三等_電力工程、電子工程、電信工程:工程數學#31686
> 申論題
題組內容
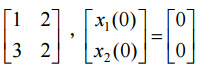
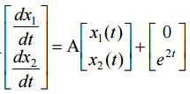
一、設
,
其中A=
⑴試求矩陣 A 特徵值λ
1
,λ
2
。(2 分)
詳解 (共 1 筆)
黃棋
詳解 #3628783
2019/10/20
(共 1 字,隱藏中)
前往觀看
相關申論題
⑴求 ||f ||。(5 分)
#71446
⑵求 f 與 g 間之距離d( f ,g)。(5 分)
#71447
⑴E[(3+2X) 2 ]=?(5 分)
#71448
⑵Var[5+3X]=?(5 分)
#71449
一、臺灣農業推廣體系和工作之主要法源依據為何?依據該法源,「農業推廣」的定義 為何?而農業推廣體系被界定應涵蓋那些專業領域?此外,我國農業推廣機關 (構)涵蓋那些單位?(25 分)
#71450
二、近年來政府為鼓勵青年從農,常會在各農業改良場或其他單位舉辦說明會。請問農 業推廣依據接觸對象多寡可區分為那三類教學方法且內容各為何?前述舉辦說明會 是屬於那類方法?而該類方法除舉辦說明會外,尚有那些方法?(25 分)
#71451
三、農會是我國農業推廣體系中非屬公部門運作之主體,請問我國農會分成那三級?農 會之農業推廣業務涵蓋類別有那些?其推廣業務的經費法源規定和經費來源各為 何?(25 分)
#71452
四、對一般農業推廣工作而言,計畫考評是應用社會科學研究方法來判別某一項計畫的 概念形成、設計、執行和實用性的活動,且考評觀點因強調方向不同而有所差異, 請說明農業推廣常見的四種考評模式與其內容。(25 分)
#71453
一、說明土壤 pH 和陽離子交換容量(CEC)對於栽培作物之影響。(20 分)
#71454
二、一黏質土壤其總體密度(bulk density)為 1.6 g cm-3 ,經添加有機質後,其總體密度 變為 1.3 g cm-3 ,請說明此改變之原因以及其對於栽培作物之影響。(20 分)
#71455
相關試卷
114年 - 114 專技高考_電機工程技師:工程數學(包括線性代數、微分方程、複變函數與機率)#133679
114年 · #133679
114年 - 114 專技高考_電子工程技師:工程數學(包括線性代數、微分方程、向量分析、複變函數與機率)#133677
114年 · #133677
114年 - 114 調查特種考試_三等_電子科學組:工程數學#129578
114年 · #129578
114年 - 114 國家安全情報特種考試_三等_電子組(選試英文):工程數學#127780
114年 · #127780
113年 - 113 專技高考_電子工程技師:工程數學(包括線性代數、微分方程、向量分析、複變函數與機率)#123976
113年 · #123976
113年 - 113 專技高考_電機工程技師:工程數學(包括線性代數、微分方程、複變函數與機率)#123971
113年 · #123971
113年 - 113 調查特種考試_三等_電子科學組:工程數學#122110
113年 · #122110
113年 - 113 身心障礙特種考試_三等_電力工程:工程數學#119517
113年 · #119517
112年 - 112 地方政府特種考試_三等_電力工程、電子工程:工程數學#118376
112年 · #118376
112年 - 112 專技高考_電機工程技師:工程數學(包括線性代數、微分方程、複變函數與機率)#117639
112年 · #117639