題組內容
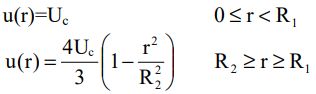
三、一條圓形斷面水管的半徑 R2 = 0.10 m,其水流流速分布:中心部分為均 勻流,外緣靠近管壁處為邊界層流: 
式中 Uc=2.0 m/s,R1=0.05 m,水的運動黏滯係數 1.0 × 10-6 m 2 /sec,試計算:(每小題 10 分,共 20 分)
三、一條圓形斷面水管的半徑 R2 = 0.10 m,其水流流速分布:中心部分為均 勻流,外緣靠近管壁處為邊界層流: 
式中 Uc=2.0 m/s,R1=0.05 m,水的運動黏滯係數 1.0 × 10-6 m 2 /sec,試計算:(每小題 10 分,共 20 分)