阿摩線上測驗
登入
首頁
>
通信系統
>
105年 - 105年高等三級暨普通考普通通信系統概要 #54147
> 申論題
題組內容
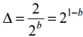
五、假設 X 均勻分布於[-1,1]。今使用 2
b
個準位(相當於 b 個位元之二元碼)來均勻量化該 訊號,得量化後之訊號為 X
q
。定義
為量化區間。(每小題 10 分,共 20 分)
⑵以 b 來表示訊號量化雜訊比(signal to quantization noise ratio, SQNR)。
相關申論題
⑴求 Y(t)之功率為何?(10 分)
#200057
⑵若要對 Y(t)進行取樣,求最小之取樣頻率,使得 Y(t)可以由取樣訊號經處理後回復。 (5 分)
#200058
⑶如何由取樣訊號回復原訊號 Y(t)?(5 分)
#200059
⑴求該濾波器的頻率響應。
#200060
⑵若該濾波器的輸入訊號為x(t) = cos(πWt) + cos(4πWt),求濾波器的輸出為何?
#200061
⑴若 m(t)的傅立葉轉換為 M( f ) ,求 x(t)的傅立葉轉換。(8 分)
#200062
⑵包跡檢測器(envelope detector)可用於檢測 AM 訊號,試畫出該包跡檢測器電路。 (7 分)
#200063
⑶包跡檢測器可正常運作的條件為何?(5 分)
#200064
⑴請詳述方塊一之功能。(7 分)
#200065
⑵請詳述方塊二之功能。(7 分)
#200066
相關試卷
114年 - 114 地方政府公務特種考試_四等_電信工程:通信系統概要#134755
114年 · #134755
114年 - 114 地方政府公務特種考試_三等_電信工程:通信與系統#134723
114年 · #134723
114年 - 114 公務升官等考試_薦任_電信工程:通信與系統#133270
114年 · #133270
114年 - 114 調查特種考試_三等_電子科學組:通信與系統#129592
114年 · #129592
114年 - 114 高等考試_三級_電信工程:通信與系統#128757
114年 · #128757
114年 - 114 普通考試_電信工程:通信系統概要#128733
114年 · #128733
113年 - 113 地方政府公務特種考試_四等_電信工程:通信系統概要#124540
113年 · #124540
113年 - 113 調查特種考試_三等_電子科學組:通信與系統#122111
113年 · #122111
113年 - 113 普通考試_電信工程:通信系統概要#121514
113年 · #121514
113年 - 113 高等考試_三級_電信工程:通信與系統#121501
113年 · #121501