阿摩線上測驗
登入
首頁
>
電磁學
>
104年 - 104年高等三級暨普通考高考三級_電子工程#29908
> 申論題
申論題
試卷:104年 - 104年高等三級暨普通考高考三級_電子工程#29908
科目:電磁學
年份:104年
排序:0
申論題資訊
試卷:
104年 - 104年高等三級暨普通考高考三級_電子工程#29908
科目:
電磁學
年份:
104年
排序:
0
題組內容
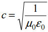
四、一真空入射平面波其電場為
,其中
,在 z = 0處 有一完全導體平面,入射平面波正向入射於該完全導體平面,試問:
申論題內容
⑵反射波之電場 E
r
(z,t) 及磁場 H
r
(z,t) 。(8 分)