阿摩線上測驗
登入
首頁
>
通信系統
>
102年 - 102年地方考四等_電信工程#31423
> 申論題
題組內容
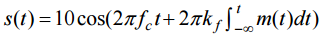
六、某一 FM 訊號可表為:
今給定 m(t) = cos(20πt),k
f
= 150,f
c
= 10
6
Hz。
⑵此 FM 訊號的調制指數(Modulation Index)是多少?(7 分)
相關申論題
⑴寫出此濾波器的頻率響應 H( f )。(12 分)
#69602
⑵畫出此濾波器的振幅響應|H( f )|。(8 分)
#69603
⑴對於由 IPv4 轉換到 IPv6,請列出目前較主要的三個技術。(10 分)
#69604
⑵請寫出 TCP/IP 是那幾個英文字縮寫,並解釋 TCP/IP 協定。(10 分)
#69605
⑴請推導 y(t)的頻譜 Y( f )。(5 分)
#69606
⑵請問頻譜|Y( f )|是頻率 f 的週期函數嗎?若是,則請解釋,並說明其週期。(5 分)
#69607
⑶為了能回復原來類比訊號 x(t),該如何選取週期 T 與濾波器?(5 分)
#69608
⑴當訊息訊號 m(t) = 5 cos(2000πt),fc = 105 ,θc = 45°時,請繪製 x(t)的頻譜。(7 分)
#69609
⑵如何解調 x(t)以回復 m(t)?(8 分)
#69610
⑴求 s(t) =?(8 分)
#69611
相關試卷
114年 - 114 地方政府公務特種考試_四等_電信工程:通信系統概要#134755
114年 · #134755
114年 - 114 地方政府公務特種考試_三等_電信工程:通信與系統#134723
114年 · #134723
114年 - 114 公務升官等考試_薦任_電信工程:通信與系統#133270
114年 · #133270
114年 - 114 調查特種考試_三等_電子科學組:通信與系統#129592
114年 · #129592
114年 - 114 高等考試_三級_電信工程:通信與系統#128757
114年 · #128757
114年 - 114 普通考試_電信工程:通信系統概要#128733
114年 · #128733
113年 - 113 地方政府公務特種考試_四等_電信工程:通信系統概要#124540
113年 · #124540
113年 - 113 調查特種考試_三等_電子科學組:通信與系統#122111
113年 · #122111
113年 - 113 普通考試_電信工程:通信系統概要#121514
113年 · #121514
113年 - 113 高等考試_三級_電信工程:通信與系統#121501
113年 · #121501