阿摩線上測驗
登入
首頁
>
統計學
>
107年 - 107 地方政府特種考試_三等_經建行政、農業行政、交通技術:統計學#73539
> 申論題
題組內容
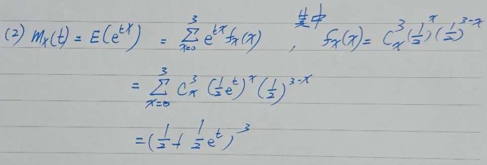
一、某一箱子有 20 顆球,白球 10 顆,黑球 10 顆。今以取出放回的方式從 箱內隨機抽取 3 球。令 X 代表白球的個數。
⑵求 X 的動差母函數,即 E[e
tX
]。(5 分)
詳解 (共 1 筆)
詳解
提供者:hchungw
相關申論題
⑴求 X = 2 的機率,即 P(X = 2)。(5 分)
#299064
⑶求 E[X 3 ]。(5 分)
#299066
⑷若隨機變數 Y 與 X 獨立且兩者有相同的機率分配,求 。 (10 分)
#299067
⑴試問該組樣本(前述觀測值樣本)平均數所對應的觀測值的顯著水準 (亦稱 p 值)?(10 分)
#299068
⑵在型一誤差機率為 0.05 之下,試問接受或拒絕虛無假設H0?(5 分)
#299069
⑶使用型一誤差機率為 0.05 的拒絕域,求H:a μ = 2.645的檢定力。(10 分)
#299070
⑴完成上述 ANOVA 表內(A)至(H)格的數值。(8 分)
#299071
⑵在型一誤差α=0.05 之下,試問該作物四種不同品種平均產量是否有 顯著差異?(8 分)
#299072
⑶在型一誤差α=0.05 之下,試問該作物在三個不同地區的平均產量是 否有顯著差異?(9 分)
#299073
⑴求 x 與 y 的樣本相關係數。(8 分)
#299074
相關試卷
114年 - 114 地方政府公務、離島地區公務特種考試_三等_經建行政、農業行政:統計學#134798
114年 · #134798
114年 - 114 地方政府公務、離島地區公務特種考試_四等_經建行政:統計學概要#134781
114年 · #134781
114年 - 114 地方政府公務特種考試_三等_統計:統計學#134714
114年 · #134714
114年 - 114 地方政府公務特種考試_四等_統計:統計學概要#134710
114年 · #134710
114年 - 114 公務升官等考試_薦任_經建行政、工業行政:統計學#133268
114年 · #133268
114年 - 114 公務升官等考試_薦任_統計:統計學#133252
114年 · #133252
114年 - 114 原住民族特種考試_四等_經建行政:統計學概要#130952
114年 · #130952
114年 - 114 原住民族特種考試_三等_經建行政:統計學#130950
114年 · #130950
114年 - 114 普通考試_經建行政:統計學概要#128743
114年 · #128743
114年 - 114 高等考試_三級_經建行政、工業行政、農業行政:統計學#128681
114年 · #128681