阿摩線上測驗
登入
首頁
>
通信系統
>
104年 - 104年司法人員、104年法務部調查局調查人員、104年國家安全局國家安全情報人員、104年海岸巡防人員、104年移民行政人員考調查三等_電子科學組#33743
> 申論題
申論題
試卷:104年 - 104年司法人員、104年法務部調查局調查人員、104年國家安全局國家安全情報人員、104年海岸巡防人員、104年移民行政人員考調查三等_電子科學組#33743
科目:通信系統
年份:104年
排序:0
申論題資訊
試卷:
104年 - 104年司法人員、104年法務部調查局調查人員、104年國家安全局國家安全情報人員、104年海岸巡防人員、104年移民行政人員考調查三等_電子科學組#33743
科目:
通信系統
年份:
104年
排序:
0
題組內容
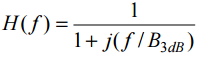
三、假設低通濾波器(Low-pass filter)為一個由電阻(R)及電容器(C)所組成,其轉 移函數(Transfer function)定義為
,其中 B
3dB
=1/(2 πRC )。假 設 x(t)為輸入訊號, y(t)為低通濾波器之輸出訊號。輸入訊號包含兩種訊號成分: x(t)= s
i
(t)+ n
i
(t) ,其中 s
i
(t)=A
0
cos(ω
0
t+θ
0
) 為理想訊號,而雜訊n (t) i 為隨機過程 (Random process),其功率頻譜密度(Power spectrum density)為S
ni
(f)=N
0
/2。
申論題內容
⑵求y(t)=s
0
(t)+n
0
(t) 中對應於s
i
(t) 與n
i
(t)成分(即 s
0
(t)與n
0
(t))的能量與功率值。 (10 分)