阿摩線上測驗
登入
首頁
>
作業研究
>
104年 - 104 高等考試_二級_工業工程:作業研究(包括線性規劃與等候理論)#31749
> 申論題
題組內容
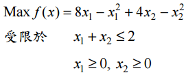
三、考慮下列二次規劃的問題:
⑵現在假設要用修訂單形法解這問題,建構要求解的線性規劃問題,然後辨認這演 算法自動會成立的額外互補性限制式。(10 分)
相關申論題
⑴以 Karush-Kuhn-Tucker 條件(KKT 條件)推導一個最佳解。(15 分)
#71804
⑴計算急診室中沒有病人、有一位病人、有兩位病人、有三位病人及有四位病人的 機率各是多少?(10 分)
#71806
⑵急診室中病人數的期望值是多少?(5 分)
#71807
⑶平均一位病人必須等候多久才能接受醫療?(5 分)
#71808
⑷流失顧客(病人)的機率是多少?(5 分)
#71809
(三)若此消費性產品的市場有 10,000 名消費者,每位消費者平均一年購買 一次,A, B, C 品牌的單位售價分別為$600, $900, $1,200。請計算長期下來該消費性產品每年的總銷售額為多少?
#560545
(二)計算穩定狀態機率。
#560544
(一)寫出此問題的一階移轉機率矩陣(transition matrix)。
#560543
(四)請求算 A, B, C, D 四個方案分別適用於樂觀指數各為多少的範圍?
#560542
(三)以 Hurwicz 準則(樂觀指數 α = 0.4)求算最佳方案及其預期年收益。
#560541
相關試卷
114年 - 114 地方政府公務特種考試_三等_工業工程:作業研究#134713
114年 · #134713
114年 - 114 專技高考_工業工程技師:作業研究#133680
114年 · #133680
114年 - 114 高等考試_三級_工業工程:作業研究#128750
114年 · #128750
113年 - 113 地方政府公務特種考試_三等_工業工程:作業研究#124521
113年 · #124521
113年 - 113 專技高考_工業工程技師:作業研究#123885
113年 · #123885
113年 - 113 高等考試_三級_工業工程:作業研究#121489
113年 · #121489
112年 - 112 地方政府特種考試_三等_工業工程:作業研究#118325
112年 · #118325
112年 - 112 專技高考_工業工程技師:作業研究#117594
112年 · #117594
112年 - 112 公務升官等考試_薦任_工業工程:作業研究#117328
112年 · #117328
112年 - 112 高等考試_三級_工業工程:作業研究#115450
112年 · #115450