阿摩線上測驗
登入
首頁
>
控制系統
>
108年 - 108 高等考試_二級_電力工程:控制系統#79579
> 申論題
題組內容
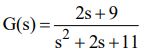
一、已知一單位負回授系統之開路轉移函數(open-loop transfer function)為
。
⑵若此閉迴路系統之脈衝響應(impulse response)為 Bt Ae sin(Ct ) − + θ ,求 A、B 、C 及θ為何?(20 分)
相關申論題
⑴根據勞斯穩定準則(Routh’s stability criterion),求使閉迴路系統穩定 之 K 值區間。(5 分)
#324255
⑵根據根軌跡圖法(root-locus method),畫出K ≥ 0的根軌跡圖。(8 分)
#324256
⑶由⑵所畫的圖,請回答當K → ∞時,回授系統的根的值。(6 分)
#324257
⑷由⑵所畫的圖,請回答當K > 0,回授系統重根時 K=?重根為何?此 重根點處的離開角(departure angle)為何?以及抵達角(arrival angle) 為何?(6 分)
#324258
三、已知一回授系統之閉迴路轉移函數為 ,其中0< 1 ≤ ζ 。 若頻寬(bandwidth),ωBW ,可表示成ωBW = ,求 D(5 分)、 E(10 分)以及 F(10 分)。
#324259
⑴請回答系統可控的條件為何?(2 分)
#324260
⑵請回答系統可觀察的條件為何?(2 分)
#324261
⑶請回答估測器增益向量l 的設計條件為何?(3 分)
#324262
⑷請回答狀態回授控制器增益向量k 的設計條件為何?(3 分)
#324263
⑸請推導證明,以估測器為基礎之狀態回授控制設計方法中,估測器增 益向量l 與狀態回授控制器增益向量k 是可以分別設計之。(15 分)
#324264
相關試卷
114年 - 114 高等考試_二級_電力工程:控制系統#131606
114年 · #131606
113年 - 113 高等考試_二級_電力工程:控制系統#123078
113年 · #123078
112年 - 112 高等考試_二級_電力工程:控制系統#116766
112年 · #116766
111年 - 111 高等考試_二級_電力工程:控制系統#111038
111年 · #111038
110年 - 110 高等考試_二級_電力工程:控制系統#101931
110年 · #101931
109年 - 109 高等考試_二級_電力工程:控制系統#91548
109年 · #91548
108年 - 108 高等考試_二級_電力工程:控制系統#79579
108年 · #79579
107年 - 107 第十八屆TAIROA社團法人台灣智慧自動化與機器人協會_自動化工程師證照考試_Level 2/機器人中階:控制系統#72749
107年 · #72749
107年 - 107 高等考試_二級_電力工程:控制系統#72396
107年 · #72396
106年 - 106 高等考試_二級_電力工程:控制系統#65249
106年 · #65249