阿摩線上測驗
登入
首頁
>
機率統計
>
102年 - 102 國家安全情報特種考試_三等_數理組(選試英文):機率統計#42091
> 申論題
申論題
試卷:102年 - 102 國家安全情報特種考試_三等_數理組(選試英文):機率統計#42091
科目:機率統計
年份:102年
排序:3
申論題資訊
試卷:
102年 - 102 國家安全情報特種考試_三等_數理組(選試英文):機率統計#42091
科目:
機率統計
年份:
102年
排序:
3
題組內容
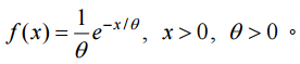
三、若隨機變數 X
1
, X
2
,L, X
n
為互相獨立且皆服從指數分配具有下列機率密度函數
令 X
(1)
< X
( 2)
< L < X
( n )
為 X
1
, X
2
,L, X
n
所對應的順序統計量(order statistics), 則
申論題內容
⑵試求: X
( n )
− X
(1)
之期望值;(10 分)