阿摩線上測驗
登入
首頁
>
工程經濟學
>
94年 - 94-2 專技高考_交通工程技師:工程經濟#38550
> 申論題
題組內容
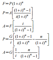
一、以下是工程經濟中常用的一些公式:
⑵請簡明精要地說明以上每一公式的用途。(10 分)
相關申論題
⑴請簡明精要地寫下公式中每一符號 P, F, A, n, i, G 的定義。(10 分)
#113903
二、請用以下各項還款計畫,說明等值(equivalence)的觀念。其中每項計畫之期初貸 款均為 5,000,000 元,年利率 8%,期限 5 年。(20 分) 計畫 A. 單利、期末償還全額。(Simple interest, pay all at end.) 計畫 B. 複利、期末償還全額。(Compound interest, pay all at end.) 計畫 C. 每年支付單利、期末償還本金。(Simple interest paid annually, principal repaid at end.) 計畫 D. 每年償還複利以及部分本金。(Compound interest and portion of principal repaid annually.) 計畫 E. 每年償還等額複利及本金。(Equal payments of compound interest and principal made annually.)
#113905
⑴現值。(10 分)
#113906
⑵分攤成十年之等額年值。(10 分)
#113907
四、現有兩項跨越河道興建橋樑的方案可供選擇: 方案 A. 興建吊橋的成本為 5,000,000,000 元,每年檢查與維修成本 3,500,000 元。 另外,混凝土橋面每十年必須更換一次,每次成本 10,000,000 元。 方案 B. 興建桁架橋的成本為 2,500,000,000 元,每年檢修成本 2,000,000 元。另外, 每三年油漆一次的成本為 19,000,000 元。 方案 A 的土地取得成本是 200,000,000 元;而方案 B 的同一成本為 1,500,000,000 元。 如果年利率 6%,請比較此二方案之資本化成本(capitalized cost)。(20 分)
#113908
(二)假設通貨膨脹率為每季 1%,試以定值貨幣(Constant Dollars)計算該 債券每季等額支付的利息系列為何?假設定值貨幣之基準期(Base Year)為目前。
#560867
(一)該債券目前之市價為何?
#560866
(二)複利週期內,存款不計息。
#560865
(一)複利週期內,存款以複利計部分利息。
#560864
二、某資產之期初成本為$800,000,預期使用壽命為 5 年,其操作維護成本 第一年為$250,000,之後每年將增加$150,000,假設無論於何時報廢,殘值皆為$100,000,若年利率為 5%,試求最低的平均年成本為多少?經濟壽命為幾年?
#560863
相關試卷
114年 - 114 地方政府公務特種考試_三等_工業工程:工程經濟學#134775
114年 · #134775
114年 - 114 專技高考_工業工程技師:工程經濟#133698
114年 · #133698
114年 - 114 交通事業郵政升資考試_員級晉高員級_技術類(選試電機機械)—郵政:工程經濟#133205
114年 · #133205
114年 - 114 高等考試_三級_工業工程:工程經濟學#128758
114年 · #128758
113年 - 113 地方政府公務特種考試_三等_工業工程:工程經濟學#124518
113年 · #124518
113年 - 113 專技高考_工業工程技師:工程經濟#123876
113年 · #123876
113年 - 113 高等考試_三級_工業工程:工程經濟學#121231
113年 · #121231
112年 - 112 地方政府特種考試_三等_工業工程:工程經濟學#118134
112年 · #118134
112年 - 112 專技高考_工業工程技師:工程經濟#117551
112年 · #117551
112年 - 112 公務升官等考試_薦任_工業工程:工程經濟學#117308
112年 · #117308