阿摩線上測驗
登入
首頁
>
工程數學(應用數學, 線性代數、微分方程、複變函數與機率)
>
106年 - 106 鐵路特種考試_高員三級_電力工程、電子工程:工程數學#62555
> 申論題
申論題
試卷:106年 - 106 鐵路特種考試_高員三級_電力工程、電子工程:工程數學#62555
科目:工程數學(應用數學, 線性代數、微分方程、複變函數與機率)
年份:106年
排序:0
申論題資訊
試卷:
106年 - 106 鐵路特種考試_高員三級_電力工程、電子工程:工程數學#62555
科目:
工程數學(應用數學, 線性代數、微分方程、複變函數與機率)
年份:
106年
排序:
0
題組內容
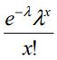
四、一隨機變數 X 之機率密度函數為P(X=x)=
,x=0,1,2,......且λ > 0,試求:
申論題內容
⑵變異數 Var(X)
詳解 (共 1 筆)
詳解
提供者:Jacob Lin