所屬科目:工程數學(應用數學, 線性代數、微分方程、複變函數與機率)
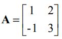
一、若,證明 A2 -4A+5I = 0,並由此計算 A3及 A4 。
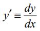
二、解微分方程式 y' + 3x2y = 6x2 ,y(0) = 7(題中)。
三、以傅立葉級數(Fourier Series)表示 f (t):
⑴期望值 E(X)
⑵變異數 Var(X)