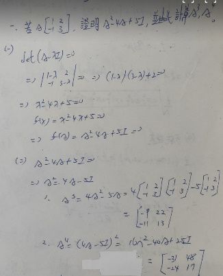
一、若
,證明 A2 -4A+5I = 0,並由此計算 A3及 A4 。
詳解 (共 2 筆)
詳解

詳解