阿摩線上測驗 登入

申論題資訊

試卷:106年 - 分析化學#64269
科目:分析化學(含儀器分析)
年份:106年
排序:0

題組內容

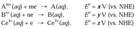
三、鈰(IV)離子一氧化劑,可氧化 A 與 B,使之成為 離子,其中 x、y 與 z 分別代表各相關半反應的標準還原電位值,而 m 與 n 為其電子轉移數:

申論題內容

⑵ n 的數值為何?詳述計算過程,否則不予計分。