阿摩線上測驗
登入
首頁
>
化學反應工程學
>
101年 - 101 高等考試_三級_化學工程:化學反應工程學#26524
> 申論題
申論題
試卷:101年 - 101 高等考試_三級_化學工程:化學反應工程學#26524
科目:化學反應工程學
年份:101年
排序:0
申論題資訊
試卷:
101年 - 101 高等考試_三級_化學工程:化學反應工程學#26524
科目:
化學反應工程學
年份:
101年
排序:
0
題組內容
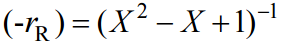
一、一液相反應之反應速率可表為
,其中 X 為反應物 R 的轉化率 (fractional conversion)=[(原來 R 的量-反應後剩下 R 的量)/原來 R 的量]。有連續 攪拌反應器(continuous stirred tank reactor,CSTR)與栓流反應器(plug flow reactor,PFR)兩種反應器可供選擇。下列情況應選擇那一種,可使反應器的體積 較小?
申論題內容
⑶是否可能在某一轉化率時兩種反應 器的體積相同?(10 分)
須詳述理由,否則不予計分。