阿摩線上測驗
登入
首頁
>
迴歸分析
>
102年 - 102 地方政府特種考試_三等_統計:迴歸分析#25961
> 申論題
申論題
試卷:102年 - 102 地方政府特種考試_三等_統計:迴歸分析#25961
科目:迴歸分析
年份:102年
排序:0
申論題資訊
試卷:
102年 - 102 地方政府特種考試_三等_統計:迴歸分析#25961
科目:
迴歸分析
年份:
102年
排序:
0
題組內容
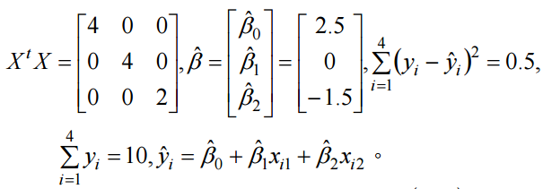
三、
為對應以下多重線性迴歸模式 ,
之觀察值。令
之最小平方估計量或其值。X 為自變數矩陣,
給定以下之結果:
申論題內容
⑸算出β
1
之 95%之信賴區間。(5 分)