阿摩線上測驗
登入
首頁
>
工程數學(應用數學, 線性代數、微分方程、複變函數與機率)
>
109年 - 109 高等考試_三級_醫學工程、電力工程、電子工程、電信工程:工程數學#88797
> 申論題
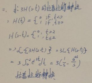
二、求 3H(2 - t) 的拉普拉斯轉換(Laplace transform),其中H(t)定義為:
詳解 (共 1 筆)
詳解
提供者:hchungw
相關申論題
一、求,的通解(general solution)。
#360339
三、若 i1+i = a + ib,求a 及b。
#360341
四、讓 ,則u向v投影的長度為何?
#360342
五、x為一連續隨機變數,其密度函數f為 f(x) = ae-x,其中a為一常數,0 ≦ x ≦ ∞。求機率 P(1 ≦ x ≦ 2)=?
#360343
(一)求A的行列式值(determinant)。
#360344
(二)求A所有特徵值(eigenvalues)及其對應之特徵向量(eigenvectors)。
#360345
(三)求A的零空間(null space)。
#360346
(二)求得矩陣 A 之零空間(Null Space)N( A )。(10 分)
#557492
(一)求得線性方程式 Ax=b 之完整解(Complete Solution) 。(20 分)
#557491
四、假設週期函數f(x)之週期為 2π,f(x)=。計算f(x)之傅氏級數(Fourier Series)。(20 分)
#557490
相關試卷
114年 - 114 專技高考_電機工程技師:工程數學(包括線性代數、微分方程、複變函數與機率)#133679
114年 · #133679
114年 - 114 專技高考_電子工程技師:工程數學(包括線性代數、微分方程、向量分析、複變函數與機率)#133677
114年 · #133677
114年 - 114 調查特種考試_三等_電子科學組:工程數學#129578
114年 · #129578
114年 - 114 國家安全情報特種考試_三等_電子組(選試英文):工程數學#127780
114年 · #127780
113年 - 113 專技高考_電子工程技師:工程數學(包括線性代數、微分方程、向量分析、複變函數與機率)#123976
113年 · #123976
113年 - 113 專技高考_電機工程技師:工程數學(包括線性代數、微分方程、複變函數與機率)#123971
113年 · #123971
113年 - 113 調查特種考試_三等_電子科學組:工程數學#122110
113年 · #122110
113年 - 113 身心障礙特種考試_三等_電力工程:工程數學#119517
113年 · #119517
112年 - 112 地方政府特種考試_三等_電力工程、電子工程:工程數學#118376
112年 · #118376
112年 - 112 專技高考_電機工程技師:工程數學(包括線性代數、微分方程、複變函數與機率)#117639
112年 · #117639