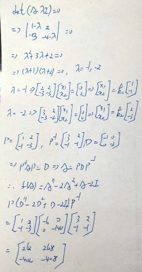
四、若f(x)=x7-2x2+x-2I,
,I 為單位矩陣,求 f (A) =?
詳解 (共 3 筆)
hchungw
詳解 #5075784

劉彥廷
詳解 #4325701
利用餘式定理和凱莉漢米準則 f(x)=(...
(共 125 字,隱藏中)
前往觀看
摩友(100000273670072)
詳解 #5076314
原最佳解我已刪,為如圖:
正確詳細詳解可參考各樓層。
原我的最佳解因+x看成-x,而A^5因計算錯誤61算成51,導致整個結果錯誤。
原試題考選部網址:https://wwwq.moex.gov.tw/exam/wHandExamQandA_File.ashx?t=Q&code=109070&c=704&s=2102&q=1
(可使用電子計算機)
正確結果為(網路計算機結果):