所屬科目:工程數學(應用數學, 線性代數、微分方程、複變函數與機率)
1 設向量u=(3, -2, -5),v=(1, 4, -4),w = (0, 3, 2),則u• (v✕ w ) 之值為何?其中運算元×表示為外積(cross product),u•v則表示為 u 和 v 的內積(inner product)。 (A) 49 (B) 56 (C) 84 (D) 92
2 已知 u, v 為向量空間(vector space)V 中的兩個非零向量(nonzero vector),下列敘述何者不恆真? (A)若 u, v 為正交(orthogonal),則 (B) (C) (D)若 u, v 的夾角為 θ,則
4 下列方陣 A,何者存在矩陣 P 滿足 PTP=I,且 PTAP 為對角矩陣? (A)(B)(C)(D)
5 下列何者非與矩陣互為相似矩陣(similar matrices)? (A)(B)(C)(D)
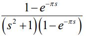
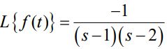
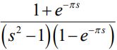
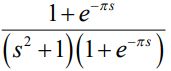
6 假設函數的逆拉氏轉換(inverse Laplace transform)為 ,其中 a, b 是常數,求 a+b=? (A)−2 (B)−1 (C) 0 (D) 2
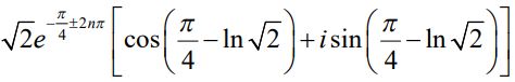
7 計算複數函數f(z)=(1+i)1-i 為: (A)(B)(C)(D)
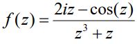
8 給定一複數函數為,假設 C 為沿著逆時針方向繞圓周| z-1|= 1之路徑,則線積分= ? (A)0(B)(C)2(D)3
9 求在z=-i的殘餘值(residue)為: (A)0(B)(C)(D)
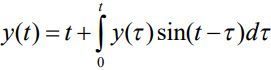
10 求解積分方程式 為: (A)(B)(C)(D)
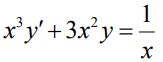
11 下列何者不是 y(x) 的線性(linear)微分方程式?(其中) (A)(B)x2y'+2xy=sinh5x(C)y'=1+y2(D)xy'=2y+x3ex
12 下列那一個函數組合可構成微分方程式 y(4)-y= 0 的解之基底(basis of solutions)?(其中) (A) cos x , sinx x, x,x-1 (B)ex ,e-x ,x,x-1 (C)ex ,e-x , coshx , sinh x (D)cos x , sinx x , coshx , sinh x
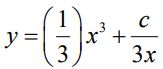
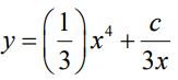
13 試問微分方程式 的解為何? (A)(B)(C)(D)
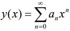
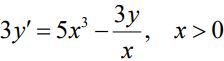
14 假設微分方程式 y''+xy'-2y=e5x;其中 y(0)= 2 且 y'(0)= 1,若 為此微分方程式之級數解,求 a4 的值為何? (A)(B)(C)(D)
15 函數 f(t)之拉氏轉換(Laplace transform)為,令,則 f(t)可能為何? (A)et+e2t(B)-et-e2t(C)-et+e2t(D)et-e2t
16 求 f (t)=| sin(t) | 之拉氏轉換式為: (A)(B)(C)(D)
17 已知函數 f(t)的傅立葉轉換(Fourier transform)存在,且其傅立葉轉換標記為 , 下列何者恆真? (A)若f(t)在 t = 4 為連續,則 ,其中δ(t) 為單位脈衝訊號(unit impulse signal) (B) f (t-4)的傅立葉轉換為ej4ωF(ω) (C) ej4tf(t)的傅立葉轉換為 F(ω+4) (D) e3tf(t)的傅立葉轉換為 F(ω-3)
18 從 72 的所有正因數中,隨機選取一數,此數值大於 15 的機率為何? (A)(B)(C)(D)
19 假設兩個隨機變數(X,Y) ,其聯合機率分布(joint probability distribution)為 (x ,y )=,其中x=0,1,2,3; y=0,1, 2 ,試算出機率 P(X>Y) 為何? (A)(B)(C)(D)
20 隨機變數 X, Y 的聯合機率密度函數為 ,則 X 與 Y 之期望值分別為: (A) 8/15,4/5 (B) 8/15,4/15 (C) 4/5,8/15 (D) 4/15,8/15
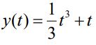
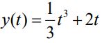
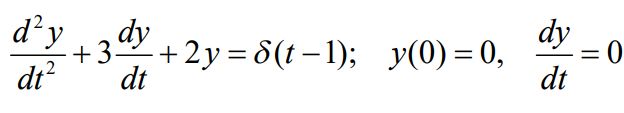
一、利用 Laplace Transform 解下列微分方程式,其中方程式的等號右邊為一 具有時間延遲的一個單位脈衝(unit impulse)輸入,求 y(t)。
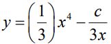
二、試求 ,其中 c 代表圍線積分的路徑為逆時鐘方向。
三、,若且求此函數之傅立葉級數 (Fourier Series)。
四、若f(x)=x7-2x2+x-2I,,I 為單位矩陣,求 f (A) =?