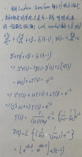
一、利用 Laplace Transform 解下列微分方程式,其中方程式的等號右邊為一 具有時間延遲的一個單位脈衝(unit impulse)輸入,求 y(t)。
詳解 (共 1 筆)
詳解

一、利用 Laplace Transform 解下列微分方程式,其中方程式的等號右邊為一 具有時間延遲的一個單位脈衝(unit impulse)輸入,求 y(t)。
