題組內容
45-47題為題組
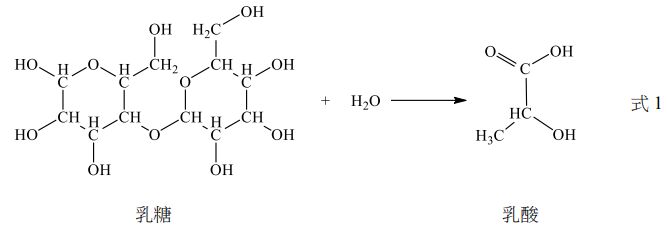
乳糖與酪蛋白是牛乳中製作乳酪所需的重要成分。加入特定的微生物於牛乳中,靜置一 段時間發酵,待微生物將乳糖轉化形成乳酸。在這個過程中,溫度、熟成時間和其他微量添加物(例如食鹽)都會影響乳酪的口感和味道。隨著發酵過程乳酸濃度的上升,酪蛋白會逐漸凝聚析出形成固體,是乳酪的主要成分,殘留在溶液中的蛋白質則統稱為乳 清蛋白,經過加工以高蛋白營養品出售。
47.小花根據以上發酵反應的資訊,提出了乳糖發酵的反應式(式1),並測試表8中各種不同的發酵條件對乳酪製作的影響。

乳糖與酪蛋白是牛乳中製作乳酪所需的重要成分。加入特定的微生物於牛乳中,靜置一 段時間發酵,待微生物將乳糖轉化形成乳酸。在這個過程中,溫度、熟成時間和其他微量添加物(例如食鹽)都會影響乳酪的口感和味道。隨著發酵過程乳酸濃度的上升,酪蛋白會逐漸凝聚析出形成固體,是乳酪的主要成分,殘留在溶液中的蛋白質則統稱為乳 清蛋白,經過加工以高蛋白營養品出售。
47.小花根據以上發酵反應的資訊,提出了乳糖發酵的反應式(式1),並測試表8中各種不同的發酵條件對乳酪製作的影響。

