題組內容
四、定義函數 f ( t ) 的傅立葉轉換(Fourier transform)為
, j =√-1
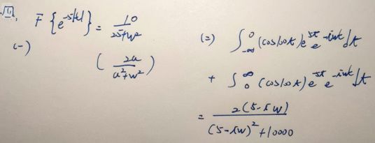
, j =√-1 (一)求函數
的傅立葉轉換(Fourier transform)。
詳解 (共 1 筆)
詳解

, j =√-1 (一)求函數
的傅立葉轉換(Fourier transform)。
