阿摩線上測驗
登入
首頁
>
自動控制學
>
105年 - 105 高等考試_三級_機械工程:自動控制 #54288
> 申論題
題組內容
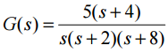
四、某系統之轉移函數為
⑵設計相變數狀態回饋控制器,使其滿足閉迴路伺服系統之暫態響應有 16.3% 之超 越量(overshoot) ,及穩態收斂時間為 T
s
= 1 秒之性能時,試求其狀態回饋增益值 K
1
、K
2
及 K
3
之值以及閉迴路轉移函數。 (15 分) [Hint:如所指定之特徵根實數靠近現有之零點位置,可採用 Pole-zero 消去法設計第 三個閉迴路極點。]
相關申論題
⑵利用⑴之轉移函數設計一個串聯(cascade)之 PD 控制器,使此閉迴路伺服系統 之線性運動 x(t)的暫態響應有 16.3% 之最大超越量 (overshoot) ,及穩態收斂時間 為 Ts = 2 秒之性能時,試求 Kp 及 Kd 之值。 (10 分)
#201065
⑴先計算出分離點、漸進線角度及其與實數軸之交叉點,再畫出此系統之根軌跡 (Root Locus)圖。(10 分)
#201066
⑵以羅斯-赫維茲穩定性(Routh-Hurwitz stability)準則,計算可使此閉迴路系統穩定 之增益 K 值的範圍,根軌跡在臨界穩定時與 jω 虛軸之交點,以及 K = 40 時之系統 阻尼比與無阻尼自然頻率。 (15 分)
#201067
⑵若此時與相位圖為-180°處頻率之對應增益邊際(gain margin)為 5 dB,請說明如 何調整設計系統之增益值 K,以達成該頻率處有增益邊際 25 dB 之穩定度要求。 (10 分) dB -20 dB/dec 20 -40 dB/dec -60 dB/dec rad/sec 0.1 1 2 5 10 -40 dB/dec 5( s + 4)
#201069
(二)試在複數平面上畫出此閉迴路極點的範圍使系統滿足:超越量百分比 (percent overshoot)%OS<10%(亦即阻尼比 ξ>0.6 ),且 2%安定時間 (settling time)小於 8 秒。(20 分)
#570293
(一)試求此開迴路之轉移函數 G(s) 。(5 分)
#570292
(三)若 K = 1,試求此閉迴路系統對單位等速輸入(unit ramp input)之穩態誤差。(5 分)
#570291
(二)若希望此閉迴路系統之阻尼比為 0.5,試求 K 之值。(10 分)
#570290
(一)若 K = 1,試估測此閉迴路系統(closed-loop system)之阻尼比。(10 分)
#570289
(三)若參考輸入為單頻調和訊號,即 r (t )= 3sin,試求其穩態輸出 y(t)。(10 分)
#570288
相關試卷
115年 - 115 關務特種考試_三等_機械工程(選試英文):自動控制#138983
115年 · #138983
114年 - 114 高等考試_二級_機械工程:自動控制學#131590
114年 · #131590
114年 - 114 關務特種考試_三等_機械工程(選試英文):自動控制#126653
114年 · #126653
113年 - 113-2 國營臺灣鐵路股份有限公司_從業人員甄試_第8階-助理工程師-電機:自動控制#137141
113年 · #137141
113年 - 113 高等考試_二級_機械工程:自動控制學#123065
113年 · #123065
113年 - 113 關務特種考試_三等_機械工程(選試英文):自動控制#119475
113年 · #119475
112年 - 112 地方政府特種考試_三等_機械工程:自動控制#118354
112年 · #118354
112年 - 112 高等考試_二級_機械工程:自動控制學#116760
112年 · #116760
112年 - 112 高等考試_三級_機械工程:自動控制#115741
112年 · #115741
112年 - 112 關務特種考試_三等_機械工程:自動控制#113920
112年 · #113920