阿摩線上測驗
登入
首頁
>
統計學
>
104年 - 104 高等考試_三級_經建行政、農業行政、交通技術:統計學#42667
> 申論題
題組內容
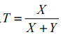
三、設隨機變數 X 與Y 相互獨立,且各別具有自由度為 2 與 3 之卡方分配 χ
2
(2) 與 χ
2
(3) 。 X 令隨機變數
。(每小題 10 分,共 20 分)
⑵試求 T 之變異數Var(T ) 。
相關申論題
⑴試求最後投擲之銅板中剛好有 3 個正面的機率。
#135149
⑵試求投擲之銅板出現正面次數的期望值。
#135150
⑴試求 X 與 Y 皆小於 1 的機率。
#135151
⑵試求 X − Y = 1的機率。
#135152
⑴試求 T 之機率密度函數 f (t ) 。
#135153
⑴若 μ 和σ 2 為未知的參數,且設 c 滿足 P [ X 1 ≤ c] = 0.90 ,試求 c 之最大概似估計量 (maximum likelihood estimator)。
#135155
⑵若 μ 已知為 1, σ 2 為未知的參數,試求滿足 P [ X 1 ≤ c] = 0.90 之 c 的100(1 − α )% 信 賴水準的信賴區間。 (已知若隨機變數 Z 具有標準常態分配,則 P [ Z < 1.2816 ] = 0.90 )
#135156
四、隨機選取1200名員工,調查某公司生產部門、銷售部門、財務部門、維修部門等四個部門的滿意度,結果如下表所示。試以α=0.05的顯著水準,計算出卡方統計量(請取至小數 點第2位),並試問滿意度是否隨著部門不同而有所不同? [χ 2 (0.05,5)=11.071; χ 2 (0.05,6)=12.592; χ2 (0.05,7)=14.067]以上問題請寫出虛無假設與對立假設(5分)、卡方值(15分)、假設驗證(5分)。
#562245
三、有一平面鐵路經過某一都市的甲、乙、丙三個區,某學者想調查這三區居民對鐵路高架 化的意見,他隨機抽取甲區28名、乙區31名、丙區41名,詢問他們對於鐵路高架化的意 見是贊成或反對?得到下列資料表。試問這三區居民對鐵路高架化的贊成百分比是否相 同?試寫出統計假設(5分)、計算過程(15分)與結果(5分;無上述過程只寫結果不計分)。( = 5.991) 甲區 乙區 丙區 贊成 23 14 31 68 反對 5 17 10 32 28 31 41 100
#562244
二、某公司過去數年的月營收平均為2000萬元,今年1月至12月之月營收分別為1800萬、2100 萬、2000萬、2300萬、1900萬、2400萬、1700萬、2200萬、2500萬、2200萬、2600萬、 2100萬。試以α=0.05的顯著水準,請計算出假設檢定的t值(請取至小數點第2位),據以檢 定此公司今年的月營收是否較往年月營收為高?[t (0.05,10)=1.8125; t(0.05,11)=1.7959; t(0.05,12)=1.7823] 以上問題請寫出虛無假設與對立假設(5分)、t值(15分)、假設驗證(5分)。
#562243
相關試卷
114年 - 114 地方政府公務、離島地區公務特種考試_三等_經建行政、農業行政:統計學#134798
114年 · #134798
114年 - 114 地方政府公務、離島地區公務特種考試_四等_經建行政:統計學概要#134781
114年 · #134781
114年 - 114 地方政府公務特種考試_三等_統計:統計學#134714
114年 · #134714
114年 - 114 地方政府公務特種考試_四等_統計:統計學概要#134710
114年 · #134710
114年 - 114 公務升官等考試_薦任_經建行政、工業行政:統計學#133268
114年 · #133268
114年 - 114 公務升官等考試_薦任_統計:統計學#133252
114年 · #133252
114年 - 114 原住民族特種考試_四等_經建行政:統計學概要#130952
114年 · #130952
114年 - 114 原住民族特種考試_三等_經建行政:統計學#130950
114年 · #130950
114年 - 114 普通考試_經建行政:統計學概要#128743
114年 · #128743
114年 - 114 高等考試_三級_經建行政、工業行政、農業行政:統計學#128681
114年 · #128681