阿摩線上測驗
登入
首頁
>
統計學
>
102年 - 102 公務升官等考試_薦任_統計、經建行政:統計學#43807
> 申論題
題組內容
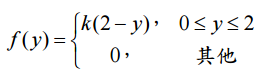
二、令 Y 之機率密度函數為
⑶計算 P(1 ≤ Y ≤ 2) 之值。(5 分)
詳解 (共 2 筆)
幫按讚
詳解 #5193292
2021/11/04
二、令 Y 之機率密度函數為 【題組...
(共 50 字,隱藏中)
前往觀看
Sam
詳解 #4518029
2021/01/27
(共 1 字,隱藏中)
前往觀看
相關申論題
⑴若此研究者依全臺電話簿,成功隨機抽取 400 個成年人,在 95%的信心水準下, 此一調查之近似邊際誤差(margin of error)為何?(5 分)
#142185
⑵在 95%的信心水準下,若該研究者希望近似邊際誤差為 2%,則需要多少樣本? (5 分)
#142186
⑴估計乙房屋的鑑價價格之母體平均數的 95%信賴區間。(10 分)
#142187
⑵在顯著水準為.05 的狀況下,請檢定甲不動產及乙房屋兩家公司房屋鑑價的價格 之母體平均數是否相等?(10 分)
#142188
⑶估計甲不動產及乙房屋兩家公司鑑價價格之相關係數。(10 分)
#142189
⑷若以甲不動產的鑑價價格為解釋變數,乙房屋的鑑價價格為反應變數,請建立一 條簡單線性迴歸模型,並說明此模型所需之假設。(10 分)
#142190
⑸估計⑷之簡單線性迴歸模型的係數。(10 分)
#142191
一、⑴說明熱力學第零定律。(10 分)
#142192
⑵說明熱力學第一定律。(10 分)
#142193
⑶充滿理想氣體的密閉容器內放一小張紙片,若急速壓縮,紙片會閃現火花,請用 熱物理解釋。(10 分)
#142194
相關試卷
115年 - 115 身心障礙特種考試_四等_經建行政:統計學概要#138995
115年 · #138995
115年 - 115 關務特種考試_三等_關稅統計(選試英文):統計學#138987
115年 · #138987
115年 - 115 身心障礙特種考試_三等_統計:統計學#138977
115年 · #138977
115年 - 115 關務特種考試_四等_關稅統計(選試英文):統計學概要#138961
115年 · #138961
115年 - 115 身心障礙特種考試_三等_經建行政:統計學#138960
115年 · #138960
114年 - 114 地方政府公務、離島地區公務特種考試_三等_經建行政、農業行政:統計學#134798
114年 · #134798
114年 - 114 地方政府公務、離島地區公務特種考試_四等_經建行政:統計學概要#134781
114年 · #134781
114年 - 114 地方政府公務特種考試_三等_統計:統計學#134714
114年 · #134714
114年 - 114 地方政府公務特種考試_四等_統計:統計學概要#134710
114年 · #134710
114年 - 114 公務升官等考試_薦任_經建行政、工業行政:統計學#133268
114年 · #133268