阿摩線上測驗
登入
首頁
>
自動控制學
>
101年 - 101年高考三級自動控制#44920
> 申論題
題組內容
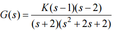
二、考慮一個單位負迴授(unity negative feedback)系統穩定性分析問題,其開迴路轉 移函數為
,以羅斯(Routh)穩定性分析求解以下問題:
⑷求解⑶之振盪頻率(oscillation frequency)。(5 分)
相關申論題
⑴求 K 及 β 之值,使系統閉迴路主極點(closed-loop dominant poles)為 p1, 2 = −1 ± j 2 。 (15 分)
#149437
⑵求出第三個閉迴路極點。(10 分)
#149438
⑴求閉迴路轉移函數。(5 分)
#149439
⑵求 K 之範圍使系統維持穩定(stable)。(10 分)
#149440
⑶求 K 之值使系統產生振盪(oscillation)。(5 分)
#149441
⑴繪出奈氏圖(Nyquist plot)。(15 分)
#149444
⑵求其相位邊際(phase margin)。(5 分)
#149445
⑶求其增益邊際(gain margin)。(5 分)
#149446
(二)試在複數平面上畫出此閉迴路極點的範圍使系統滿足:超越量百分比 (percent overshoot)%OS<10%(亦即阻尼比 ξ>0.6 ),且 2%安定時間 (settling time)小於 8 秒。(20 分)
#570293
(一)試求此開迴路之轉移函數 G(s) 。(5 分)
#570292
相關試卷
115年 - 115 關務特種考試_三等_機械工程(選試英文):自動控制#138983
115年 · #138983
114年 - 114 高等考試_二級_機械工程:自動控制學#131590
114年 · #131590
114年 - 114 關務特種考試_三等_機械工程(選試英文):自動控制#126653
114年 · #126653
113年 - 113-2 國營臺灣鐵路股份有限公司_從業人員甄試_第8階-助理工程師-電機:自動控制#137141
113年 · #137141
113年 - 113 高等考試_二級_機械工程:自動控制學#123065
113年 · #123065
113年 - 113 關務特種考試_三等_機械工程(選試英文):自動控制#119475
113年 · #119475
112年 - 112 地方政府特種考試_三等_機械工程:自動控制#118354
112年 · #118354
112年 - 112 高等考試_二級_機械工程:自動控制學#116760
112年 · #116760
112年 - 112 高等考試_三級_機械工程:自動控制#115741
112年 · #115741
112年 - 112 關務特種考試_三等_機械工程:自動控制#113920
112年 · #113920