題組內容
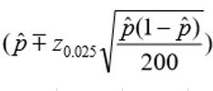
三、考慮一個母體比例 p 的估計問題,假設蒐集 200 個觀測值,得樣本比例
= 0.4 。則:
= 0.4 。則:
⑷ p 的 95%信賴區間為何?(5 分)
詳解 (共 2 筆)
hchungw
詳解 #4089501
P^ 95%的信賴區間

=( 0.3321 , 0.4679 )
Sam
詳解 #4523644