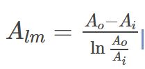
10. 液化石油氣採用球形貯存槽儲存,其熱傳面積採用________平均面積。
詳解 (共 5 筆)
私人筆記 (共 1 筆)
Terry Tung
私人筆記 #7586162
答案:幾何 解析: 球形儲槽的熱傳設計中...
(共 100 字,隱藏中)
前往觀看

