阿摩線上測驗
登入
首頁
>
工程數學(應用數學, 線性代數、微分方程、複變函數與機率)
>
101年 - 101 調查特種考試_三等_電子科學組:工程數學#26562
> 申論題
申論題
試卷:101年 - 101 調查特種考試_三等_電子科學組:工程數學#26562
科目:工程數學(應用數學, 線性代數、微分方程、複變函數與機率)
年份:101年
排序:0
申論題資訊
試卷:
101年 - 101 調查特種考試_三等_電子科學組:工程數學#26562
科目:
工程數學(應用數學, 線性代數、微分方程、複變函數與機率)
年份:
101年
排序:
0
題組內容
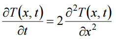
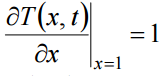
三、考慮一電路板,一端與外在環境接觸,因此溫度是固定的,
;另一端有熱 源,因此溫度梯度(temperature gradient)為固定的,
,如圖二所示。 其溫度在 Y 方向是均勻的,而沿著 X 方向的溫度分佈T 滿足偏微分方程式
另外,其初始溫度分佈為
。
申論題內容
2請求其完整之溫度分佈。提示:先做座標轉換,移除穩態解,使邊界條件為齊次。 (20 分)