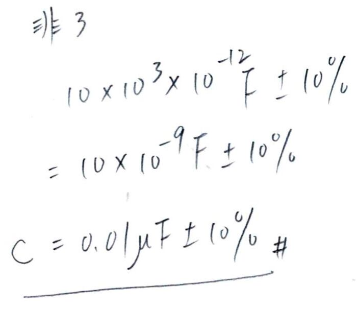
3. 某一電容器標示為 103K,其電容值 μF 為何(含誤差值)?
詳解 (共 1 筆)
詳解

3. 某一電容器標示為 103K,其電容值 μF 為何(含誤差值)?
