阿摩線上測驗
登入
首頁
>
電路學
>
113年 - 113-2 國營臺灣鐵路股份有限公司_從業人員甄試_第8階-助理工程師-電機:電路學#137142
> 申論題
題組內容
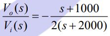
第四題 如下圖所示運算放大器應用電路 , 其轉移函數
,假設 C
1
= 20μF,則電阻 R
1
、R
2
及電容 C
2
分別為多少?如輸入端加入一步階訊號
,則輸出端
為何?
3. C
2
電容
相關申論題
1. 電壓
#562415
2. 電壓
#562416
3. 電阻
#562417
1. I0電流
#562418
2. I1電流
#562419
3. 電阻
#562420
4. 電壓
#562421
5. 諾頓等效電路
#562422
1. Z1阻抗
#562423
2. Z2阻抗
#562424
相關試卷
114年 - 114 地方政府公務特種考試_三等_電力工程、電子工程、電信工程:電路學#134770
114年 · #134770
114年 - 114 專技高考_電機工程技師:電路學#133707
114年 · #133707
114年 - 114 專技高考_電子工程技師:電路學#133700
114年 · #133700
114年 - 114 公務升官等考試_薦任_電力工程、電子工程、電信工程:電路學#133241
114年 · #133241
114年 - 114 高等考試_三級_電力工程、電子工程、電信工程:電路學#128784
114年 · #128784
113年 - 113-2 國營臺灣鐵路股份有限公司_從業人員甄試_第8階-助理工程師-電機:電路學#137142
113年 · #137142
113年 - 113 地方政府公務特種考試_三等_電力工程、電子工程:電路學#124508
113年 · #124508
113年 - 113 專技高考_電機工程技師:電路學#123962
113年 · #123962
113年 - 113 專技高考_電子工程技師:電路學#123933
113年 · #123933
113年 - 113 高等考試_三級_電力工程、電子工程、電信工程:電路學#121512
113年 · #121512