阿摩線上測驗
登入
首頁
>
教甄◆數學
>
115年 - 115-1 國立中央大學附屬中壢高級中學教師甄選試題:數學科#138235
> 申論題
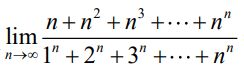
8. 極限值
=_____________。
相關申論題
1. 如圖,在地平面的三點 A、B、C,分別測得大樓 OH 樓頂 H 的仰角依序為 θ、2θ、3θ 。已知 240 公尺, 90 公尺,求樓高為_______公尺。
#565743
2. 設 z 為複數且 |z| = 1,若 |z 2+iz+1| 的最大值為 a,最小值為 b,則數對 (a , b) =________。
#565744
3. 若正數數列<an>滿足a1=1 ,且對於n≥2時皆滿足 ,其中Sn=a1+a2+...+an , 則Sn的一般項為___________ 。
#565745
4. 化簡 =__________。
#565746
5. 有個半徑為 1 單位的圓及圓外一點 P,今由 P 點往此圓作兩條切線可得兩個切點 A、B, 則的最小值為___________ 。
#565747
6. 中壢觀光夜市有個遊戲攤位,其遊戲規則如下:箱子中有編號 1~25 號的球各 1 顆,假設每顆球被抽到的機會相等,每局遊戲皆由箱中任抽兩球,若兩球的號碼在 看板上同行或同列,則可以得到球號相對應的獎金!舉例來說,假設抽到 2 號與 17 號便可得 2 +17=19元;倘若抽 2 號與 6 號就沒有獎金可以拿。今小馬壢參加此遊戲且只玩一次,則小馬壢所得獎金的期望值為________ 。
#565748
7. 設 f(x) 是定義在 ℝ 上且週期為 4 的偶函數,當 0≤x≤1時,f(x)=1+ ,而當 2≤x≤3時, f(x)=( x-4)2, 試求:=_________ 。 請繼續翻閱背面 · 。 2
#565749
9. 有個半徑為 1 單位的圓以每秒 1.5 單位的速度將圓周沿著斜坡等速往上滾動。 已知斜坡角度為θ且 tanθ=。設點 A 為開始觀察時圓與斜坡的切點, 經過π秒的移動後,點 A 距離地面的高度將增加________單位。
#565751
10. 在平面上,點 P2 , P3 , …, P6 為的等分點,且, 試求:=_____________。
#565752
11. 如圖,設△ABC 中,∠C= 90° ,以分別向外作等腰直角三角形 ABD、ACE,點 M 是中點。 若 =_____________。
#565753
相關試卷
115年 - 115-1 國立嘉科實驗高級中學_教師甄選試題_國中部:數學科#138695
115年 · #138695
115年 - 115-1 臺北市立中正高級中學_專任教師甄選初試試題:數學科#138690
115年 · #138690
115年 - 115-1 國立羅東高中_教師甄選初試︰數學科#138675
115年 · #138675
115年 - 115-1 臺南市立沙崙國際高級中學高中部_教師甄選試題:數學科#138673
115年 · #138673
115年 - 115-1 國立蘭陽女子高級中學_教師甄選試題︰數學科#138666
115年 · #138666
115年 - 115-1 新竹縣立湖口高中_正式教師甄選試題:數學科#138653
115年 · #138653
115年 - [無官方正解]115-1 國立屏科實驗高級中等學校_教師甄選:高中數學科#138645
115年 · #138645
115年 - 115-1 國立屏科實驗高級中等學校_教師甄選試題:國中數學科#138641
115年 · #138641
115年 - 115-1 國立嘉科實驗高級中學_教師甄選試題_高中部:數學科#138615
115年 · #138615
115年 - 115-1 臺北市立大同高級中學_教師甄選初選試題:高中數學科#138591
115年 · #138591