阿摩線上測驗
登入
首頁
>
測量平差法
> 100年 - 100年高等三級暨普通考高考三級_測量製圖#27146
100年 - 100年高等三級暨普通考高考三級_測量製圖#27146
科目:
測量平差法 |
年份:
100年 |
選擇題數:
0 |
申論題數:
4
試卷資訊
所屬科目:
測量平差法
選擇題 (0)
申論題 (4)
一、試說明全國 e-GPS 衛星定位基準站即時動態定位之基本原理及其組成架構。(25 分)
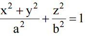
【已刪除】二、若三維直角坐標系(x,y,z),其原點和 z 軸分別與橢球中心和短軸重合,則旋轉橢球 面的方程式為
。橢球面上一點 P 之大地坐標以大地經緯度 λ 與 φ 表 示,λ 是零子午圈(x 軸)與 P 點子午圈之間在赤道面所成的角,φ 是在 P 點子午 圈上量取 P 點法線與赤道面(xy 平面)之間的角,λ 由零子午圈起算向東為正, φ 由赤道面起算向北為正,則過 P 點平行圈的半徑為
,式中 a 與 b 為橢球之長、短半徑,試證明之。(25 分)
三、於某三角形 ABC 觀測其內角,分別為:α、β 與γ。試分別以條件平差法及間接平 差法(或稱參數平差法)列出其數學模型。(25 分)
四、利用 GPS 已可測定兩點間高差,試說明水準測量的重要性是否失色。(25 分)
相關試卷
114年 - 114 專技高考_測量技師:測量平差法#133674
114年 · #133674
113年 - 113 專技高考_測量技師:測量平差法#123916
113年 · #123916
112年 - 112 地方政府特種考試_四等_測量製圖:測量平差法概要#118357
112年 · #118357
112年 - 112 地方政府特種考試_三等_測量製圖:測量平差法#118336
112年 · #118336
112年 - 112 專技高考_測量技師:測量平差法#117672
112年 · #117672
112年 - 112 原住民族特種考試_四等_測量製圖:測量平差法概要#116432
112年 · #116432
112年 - 112 高等考試_三級_測量製圖:測量平差法(包括誤差理論及實務)#115538
112年 · #115538
112年 - 112 普通考試_測量製圖:測量平差法概要#115315
112年 · #115315
111年 - 111 地方政府特種考試_三等_測量製圖:測量平差法#112400
111年 · #112400
111年 - 111 地方政府特種考試_四等_測量製圖:測量平差法概要#112399
111年 · #112399