阿摩線上測驗
登入
首頁
>
初等/五等/佐級◆基本電學大意
> 100年 - 100 國家安全情報特種考試_五等_電子組:基本電學大意#38725
100年 - 100 國家安全情報特種考試_五等_電子組:基本電學大意#38725
科目:
初等/五等/佐級◆基本電學大意 |
年份:
100年 |
選擇題數:
40 |
申論題數:
0
試卷資訊
所屬科目:
初等/五等/佐級◆基本電學大意
選擇題 (40)
1 若一負載上之電壓及電流分別為 v(t) =100cos(500t+45°)伏特和i (t) =10cos(500t+45°) 安培,則此負載阻抗為多少 Ω? (A) 10∠0 °(B) 10∠ °45 (C)10√2 ∠0 ° (D) )10√2 ∠45 °
2 二個電阻器分別為 3 Ω、6 Ω,則並聯後之等效電阻為多少 Ω? (A) 2 (B) 3 (C) 6 (D) 9
3 將三具阻值均為 30 Ω 之電阻接成Δ型電路,若轉換為等效 Y 型電路時,則 Y 型電路每臂之電阻為多少 Ω? (A) 10 (B) 30 (C) 60 (D) 90
4 關於磁力線,下列敘述何者正確? (A)磁力線絕不會互相交割 (B)磁力線可以互相交割 (C)磁力線為不封閉曲線,自 N 極發出進入 S 極 (D)磁力線沒有伸縮的特性
5 均勻分布的帶電導體,內部電場強度為 E,則: (A) E 跟導體半徑有關 (B) E 跟導體截面積有關 (C) E 跟導體電荷有關 (D) E=0
6. 5 μF 電容器自 100 V 充電至 200 V,則充電期間增加之能量為: (A) 0.05 焦耳 (B) 0.025 焦耳 (C) 0.075 焦耳 (D) 0.125 焦耳
7 若一電容器之電容量為 C 法拉,並帶有 Q 庫侖之電量,則所儲存之能量為:
8 .50*
10
18
個電子,所帶之電量相當於多少庫侖? (A) − 4 (B) − 8 (C) − 10*4
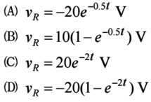
−3
(D) −2.5*10
− 16
9 有一 1000 瓦特之電鍋,若將其電熱線長度縮短為一半時,則功率變為多少瓦特? (A) 250 (B) 500 (C) 2000 (D) 4000
10 已知三個電氣子系統S
1
, S
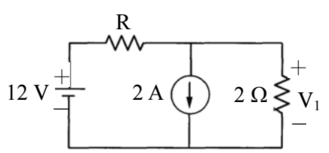
2
及S
3
串接如圖所示,其效率η
1
, η
2
及η
3
分別為 95%、80%及 90%,若輸出功率P
O
為 3.42 仟瓦,則輸入功率P
i
為多少仟瓦?
(A) 2.5 (B) 4 (C) 5 (D) 7.5
11 真空中有兩個點電荷Q1及Q2相距 10 公尺,若Q1為 500 微庫侖,Q2為 400 微庫侖,則Q1及Q2之間的作用力為 多少牛頓? (A) 18 (B) 20 (C) 30 (D) 40
12 有一環形鐵蕊,磁路長 0.4 公尺,繞有 10 匝線圈,並通以 2 安培之電流,則其磁動勢為: (A) 8 安匝 (B) 20 安匝 (C) 200 安匝 (D) 80 安匝
13 均勻分布之帶電球形導體,其內部及表面上之電位: (A)相等 (B)零 (C)不相等 (D)內部電位大於表面上之電位
14 一內電阻為 5 kΩ 之電壓表,滿刻度可量測 10 V,欲量測範圍擴大至 300 V,應該串聯多大電阻? (A) 30 kΩ (B) 145 kΩ (C) 150 kΩ (D) 300 kΩ
15 如圖所示電路,電壓 E 為多少伏特?
(A) 37 (B) 41 (C) 46 (D) 57
16 一只乾電池無負載時電壓為 1.5 V,接 10 Ω 負載時,其端電壓為 1.25 V,則此電池內阻為多少 Ω? (A) 1 (B) 2 (C) 3 (D) 4
17 如圖所示電路,R
1
消耗功率為 25 W,R
2
消耗功率為 75 W,則R
1
為多少Ω?
(A) 50 (B) 100 (C) 150 (D) 200
18 某安培表內阻為 18 Ω,量測範圍到 10 mA,若並聯 2 Ω 分流器,可增加量測範圍到多少 mA? (A) 20 (B) 90 (C) 100 (D) 200
19 一個 RLC 電路,於某工作頻率下之電阻及電抗值如圖所示,則 AB 端點間之阻抗大小為多少 Ω?
(A) 3 (B) 4 (C) 5 (D) 7
20 圖為 LC 振盪器,請問如將電感值增加為原電感值 2 倍,電容值增加為原電容值 2 倍,則此時振盪器的振盪 頻率變為原振盪頻率的幾倍?
(A) 4 倍 (B) 2 倍 (C) 1/2 倍 (D) 1/4 倍
21 已知有一電容器在 10 kHz 交流電路中之電容抗為 10 Ω,則其電容為多少 μF? (A) 0.159 (B) 1.59 (C) 3.18 (D) 6.28
22 圖示電路中,測得V
L
及V
R
皆為 10 伏特,則電路電流I應為多少安培?
(A) 0.1 (B) 1 (C) 10 (D) 100
23 將 20 mH之電感接於v(t) =100sin(100t-10°)( 伏特之電源,則該電感所呈現之電抗值X
L
為多少Ω? (A) 2 (B) 20 (C) 200 (D) 2000
24 某 L 亨利之電感器,若通過電流為 i(t)=I
m
cos ωt ,則該電感器兩端之電壓應為:
(A) v(t)=ωLI
m
sin ωt
(B)v(t)=-ωLI
m
sin ωt
(C) v(t)=ωLI
m
cos ωt
(D) v(t)=-ωLI
m
cos ωt
25 有一線圈電感 0.2 亨利接於 100 伏特 50 Hz 之電源,此線圈之感抗為多少 Ω? (A) 3.14 (B) 6.28 (C) 31.4 (D) 62.8
26 如圖所示之電路,試計算其時間常數。
(A) 2 ms (B) 5 ms (C) 1.2 ms (D) 3 ms
27 如圖所示之電路,試求 如圖所示之電路,試求V
O
為多少伏特? (A) 8 (B) 10 (C) 12 (D) 14
28 如圖所示,電阻 如圖所示,電阻 6 Ω之端電壓V
R
為多少伏特?
(A) 18 (B) 30 (C) 60 (D) 90
29 直流電路如圖所示,調整負載電阻 直流電路如圖所示,調整負載電阻R
L
以獲得負載最大功率輸出,此電壓源 以獲得負載最大功率輸出,此電壓源 48 V提供功率為多少瓦特? 提供功率為多少瓦特?
(A) 288 (B) 144 (C) 72 (D) 36
30 如圖所示,開關 如圖所示,開關S
1
置於a點已達穩態;若時間t = 0,將開關S
1
置於b點,則此電阻端電壓v
R
的響應為何?
31 如圖所示,當時間 如圖所示,當時間t = 0 時,開關S
1
置於a點,且電流i
L
的初值為零,此電阻端電壓v
R
的時間響應為何?
32 如圖所示,開關S
1
置於a點已達到穩態,在時間t = 0,將開關S
1
切置於b點,此電路端電壓v
R
的響應為何?
33 如圖所示,試求可傳送至可變電阻R
L
之最大功率為:
(A) 5 W (B) 30 W (C) 60 W (D) 120 W
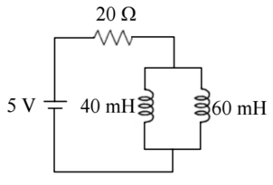
34 如圖所示之電路,試求其時間常數為若干微秒?
(A) 32 (B) 144 (C) 200 (D) 900
35 求圖中所示週期性電流波形之有效值。
36 如圖所示電路,當S閉合後,電流I
o
將下降多少安培?
(A) 1 (B) 2 (C) 3 (D) 4
37 如圖所示電路,若V
1
=4 V,則R為多少Ω?
(A) 1 (B) 2 (C) 3 (D) 5
38 自感量分別為 4 H 及 16 H 之兩線圈串聯,已知其總電感量為 24 H,則線圈間之耦合係數為何? (A) 0 (B) 0.25 (C) 0.5 (D) 0.75
39 在空氣中有兩平行導線,其長度均為 10 m、相距 1 cm,已知其中一導線上之電流為 20 A,每一導線之作用 力為 0.12 N,則另一導線上之電流為多少安培? (A) 10 (B) 20 (C) 30 (D) 40
40 電量為8.0x10
-16
庫侖的粒子,在均勻導線內受4.0x10
-12
牛頓的電力,假設電場均勻分布,則沿電場方向相 距 0.1 米的兩點間之電位差為多少伏特?(A) 400 (B) 500 (C) 600 (D) 800
申論題 (0)
相關試卷
115年 - 115 初等考試_電子工程:基本電學大意#136711
115年 · #136711
114年 - 114 初等考試_電子工程:基本電學大意#124884
114年 · #124884
113年 - 113-2 國營臺灣鐵路股份有限公司_從業人員甄試_第 11 階-服務員-電機:基本電學大意#137070
113年 · #137070
113年 - 113 國營臺灣鐵路股份有限公司_從業人員甄試_第 11 階-服務員-電機:基本電學大意#118978
113年 · #118978
113年 - 113 初等考試_電子工程:基本電學大意#118528
113年 · #118528
112年 - 112 地方政府特種考試_五等_電子工程:基本電學大意#118365
112年 · #118365
112年 - 112 鐵路、國家安全情報特種考試_佐級、五等_電力工程、電子工程、電子組:基本電學大意#114946
112年 · #114946
112年 - 112 身心障礙特種考試_五等_電子工程:基本電學大意#113918
112年 · #113918
112年 - 112 初等考試_電子工程:基本電學大意#112884
112年 · #112884
111年 - 111 地方政府特種考試_五等_電子工程:基本電學大意#112591
111年 · #112591