阿摩線上測驗
登入
首頁
>
統計學
> 100年 - 100 身心障礙特種考試_三等_經建行政:統計學#46159
100年 - 100 身心障礙特種考試_三等_經建行政:統計學#46159
科目:
統計學 |
年份:
100年 |
選擇題數:
0 |
申論題數:
8
試卷資訊
所屬科目:
統計學
選擇題 (0)
申論題 (8)
一、若X
1
……X
n
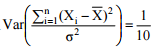
為某一地區香蕉每棵之生產量,其分配未知。我們關心分配之變異數σ
2
。若 我們知道
。請驗證下面表示是否正確:
二、隨機樣本X
1
……X
n
產自A地區,其分配為N(μx ,σ
2
) 及Y
1
……Y
m
產自B地區,其分配為N(μy ,2σ
2
),其中σ
2
未知。這兩個分配獨立,請推導μ
y
-μ
x
之 90%信賴區間。(25 分)
⑴想知新品牌是否可以取代舊品牌。你的假設為何?道理為何?(10 分)
⑵若我們有Y
A
,Y
B
代表樣本數n=100 及m=100 之枯死數目。您的檢定方法為何?用 B 到何種理論?(15 分)
⑶若顯著水準α=0.3 且Y
A
=10,Y
B
=10 結論為何?(10 分)
⑴在以變異數分析來檢定母體平均數是否相等時,此 k 個分配( )必須何種假設。(5 分)
【已刪除】 ⑵設
為樣本總平均,
為第 j 群的樣本平均。請問
及
分配為何?(10 分)
⑶當顯著水準α=0.05 且檢定之P值為 0.03,應該拒絕或接受H
0
之假設?理由為何?( 5 分)
相關試卷
115年 - 115 身心障礙特種考試_四等_經建行政:統計學概要#138995
115年 · #138995
115年 - 115 關務特種考試_三等_關稅統計(選試英文):統計學#138987
115年 · #138987
115年 - 115 身心障礙特種考試_三等_統計:統計學#138977
115年 · #138977
115年 - 115 關務特種考試_四等_關稅統計(選試英文):統計學概要#138961
115年 · #138961
115年 - 115 身心障礙特種考試_三等_經建行政:統計學#138960
115年 · #138960
114年 - 114 地方政府公務、離島地區公務特種考試_三等_經建行政、農業行政:統計學#134798
114年 · #134798
114年 - 114 地方政府公務、離島地區公務特種考試_四等_經建行政:統計學概要#134781
114年 · #134781
114年 - 114 地方政府公務特種考試_三等_統計:統計學#134714
114年 · #134714
114年 - 114 地方政府公務特種考試_四等_統計:統計學概要#134710
114年 · #134710
114年 - 114 公務升官等考試_薦任_經建行政、工業行政:統計學#133268
114年 · #133268