阿摩線上測驗
登入
首頁
>
電路學
> 101年 - 台電、中油、台水 電子電路學、通訊系統概論#28651
101年 - 台電、中油、台水 電子電路學、通訊系統概論#28651
科目:
電路學 |
年份:
101年 |
選擇題數:
60 |
申論題數:
0
試卷資訊
所屬科目:
電路學
選擇題 (60)
1.若共射極組電晶體之P值由50變至100,則α值變化如何? (A)由 0.98 變至 0.99 (B)由 0.99 變至 0.98 (C)由 0.92 變至 0.96 (D)由 0.96 變至 0.92
2.對歐利效應(Early effect)及其影響,下列敘述何者正確? (A)α值隨著|VCB|的增加而變大 (B)若有效的基極寬度WB降為零則導致電晶體中的電壓崩潰 (C)少數載體的濃度梯度Pn會在基極内增加 (D)以上皆是 '
3.若npn電晶體工作於截止區時,下列接面偏壓敘述何者正確? (A)基-射接面順向偏壓,基-集接面順向偏壓(B)基-射接面順向偏壓,基-集接面逆向偏壓 (C)基-射接面逆向偏壓,基-集接面順向偏壓(D)基-射接面逆向偏壓,基-集接面逆向偏壓
4.串聯饋送式A類放大器在理論上最高效率η
max
為何? (A)30% (B)25% (C) 35% (D) 60%
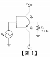
5.如【圖1】電路所示,B類推挽放大器若R
L
=7.2Ω , 且最大輸出功率P
0(ac)max
= 10 W,則Vcc為何? (A) 15 V (B) 20 V (C) 12 V (D) 16 V
6.差動放大器若其差模增益A
d
=1000共模增益A
c
=l,則其共模拒斥比(CMRR)值為何? (A) 20 dB (B) 40 dB (C) 60 dB (D) 80 dB
7.(A) -50 (B) 50 (C) 100 (D)0
8.承第7題,下列敍述何者錯誤? (A)低頻時電壓增益為
(B)截止頻率為
(C)為低通濾波器 (D)為積分器
9.如【圖3】電路所示,定電流電路若Vz = 3.7V,V
EB
= 0.7 V,試求IL為何? (A) 2 mA (B)4mA (C)6mA (D) 0.5 mA
10.某矽質二極體在溫度20°C時逆向飽和電流為5 nA, 當溫度為30°C時,此二極體逆向飽和電流為何? (A)6nA (B)8nA (C) 10 nA (D) 12 nA
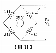
11 如【圖4】所示電路為何種反饋(Feedback)? (A)電壓串聯反饋 (B)電壓並聯反饋 (C)電流串聯反饋 (D)電流並聯反饋
12. 如【圖5】所示電路,若輸入電壓 V
i
=±3 V方波,則輸出電壓 V
o
之最大及最小振幅為何?
(A)-7V ≦ V
o
≦ -1V(B)-4V ≦ V
o
≦ -1V(C)-1V ≦ V
o
≦ 3V(D)-3V ≦ V
o
≦ 1V
13.如【圖6】所示電路為恆流源電路,其中汲源飽和電 流 I
DSS
= 4mA,V
DD
=12V,R
D
=1KΩ, 則輸出電壓Vo為何? (A) 10 V (B)6V (C) 12 V (D)8V
14.如【圖7】所示為何種電晶體? (A) n通道增強式金氧半場效電晶體 (B) p通道增強式金氧半場效電晶體 (C)n通道空乏式金氧半場效電晶體 (D) p通道空乏式金氧半場效電晶體
15.有一調諳C類放大器,電源V
cc
= 20 V且最大輸出功率為2 W,若推動此放大器的輸入信號 頻率為200 KHz,導通的時間為每週期1呷,且導通時I
c(sat)
=100mA,V
CE(sat)
= 0.2 V,則此 放大器的最大效率為何? (A) 98.2% (B) 99.5% (C) 99.8% (D) 93.5%
16.若某一個電晶體之I
CBO
=40nA,I
cEo
=10 μA,則此電晶體之β值為何? (A) 149 (B) 249 (C) 49 (D) 349
17.在電晶體h參數中,代表輸入開路時之輸出導納為下列哪一項? (A) h
12
(B) h
21
(C) h
11
(D) h
22
18.有兩個正弦波電流方程式分別為i
1(t)
=10sin(120πt)A,i
2
(t)=5sin(120πt + 30°) A,則此兩波形時 間差為何? (A) 2.51 ms (B) 1.02 ms (C) 1.39 ms (D) 1.53 ms
19.有一脈波若其脈波寛度為2.5μs,工作週期為4%,則此脈波之頻率為何? (A) 21 KHz (B) 10 KHz (C) 16 KHz (D) 32 KHz
20.某一個稽納二極體在25°C時崩潰電壓為10 V,其溫度係數為0.05%/°C,當溫度為61°C時此 稽納二極體之崩潰電壓為何? (A) 9.5 Y (B) 10.18 V (C) 11.24 V (D) 12.2 V
21對於電波在空中而言,電波速度即為光速,其值為多少? (A) 3 × 10
8
mm/sec (B) 3 × 10
8
cm/sec (C) 3 × 10
8
m/sec (D) 3 × 10
8
Km/sec
22.高頻通訊技術領域中,對於訊號量的大小,大多以對數(log scale )的dBm、dBmV來表示,其 定義0 dBm等於1 mW,那麼1 W等於多少? (A) 10 dBm (B) 100 dBm (C) 30 dBm (D) 300 dBm
23.—個理想電阻的頻率響應是在所有頻率範圍内阻值都是固定的常數,而且相位(Phase)為幾度? (A)90 度 (B)60 度(C)30 度 (D) 0 度
24.高頻系統中常用的N型接頭,大都應用在高功率的發射系統中,其特性阻抗為多少? (A)5歐姆 (B)50歐姆(C) 500歐姆 (D) 5000歐姆
25.下列那一個頻率屬於UHF( Ultra High Frequency)頻率範圍? (A) 20 KHz (B) 200 KHz (C) 200 MHz (D) 2000 MHz
26.下列那一項頻率屬於微波頻譜的X-Band頻率範圍? (A) 9 GHz (B) 15 GHz (C) 3 GHz (D) 19 GHz
27.假設一個高頻放大器將-40 dBm輸入訊號放大成+20 dBm的輸出訊號,則此放大器的增益為 多少? (A) -20 dBm (B) +20 dBm (C) +40 dBm (D) +60 dBm
28.下列高頻零組件那一項屬於主動性(Active)零組件? (A)導波管(Waveguide )(B)LRC濾波器(C)放大器 (D)負載電阻
29.下列那一種調變方式是將欲傳送訊號之變化,表現於載波的頻率變化? (A)相位調變(PM) (B)頻率調變(FM) (C)振幅調變(AM) (D)脈波振幅調變(PAM)
30.下列那一種調變方式是將欲傳送訊號之變化,表現於載波的相位變化? (A)相位調變(PM) (B)頻率調變(FM) (C)振幅調變(AM) (D)脈波振幅調變(PAM)
31.某個訊號的頻寬介於0 Hz到3000 Hz之間,假若對此訊號做取樣並考慮將來可以將其回復, 則應對此訊號每一秒取樣多少次(即取樣速率)? (A) 2000 次 (B) 4000 次(C) 5000 次 (D) 6000 次
32.在功率放大器的設計規格需求項目,下列何項定義為:『在一定的頻寬内,所容許最大增益( Gain)的變化大小(亦即正負幾dB)』? (A)頻率範圍 (B)增益平坦度(C)操作溫度 (D)電壓駐波比
33.假設某電台的頻率為300 KHz,試計算其波長為多少? (A) 1000 公尺 (B) 500 公尺(C) 300 公尺 (D) 100 公尺
34.通訊系統中,假設輸入功率為1 W,輸出功率為100 W,則其輸出與輸入功率比值為多少? (A) 1000dB (B)10dB (C) 200 dB (D) 20 dB
35.有關無線電通訊方式中,可以雙方發送,但同一時間僅有一方發送另一方接收,應為下列何 種方式? (A)全雙工 (B)單工(C)半雙工 (D)以上皆非
36.電波發射後向四週傳播,其中經由電離層反射回地球的波,稱為什麼波? (A)直接波 (B)地球表面波(C)地球反射波 (D)天波
37. (A)S
11
(B) S
12
(C) S
21
(D) S
22
38.承第37題所述,下列那一項S參數定義為順向傳輸係數? (A) S
11
(B) S
12
(C) S
21
(D) S
22
39.下列數位調變中,那一項頻譜效率最差? (A) BPSK (B) GMSK (C) QPSK (D) 16QAM
40.下列那一個圖為帶通(Band-pass)濾波器的特性? (A)
(B)
(C)
(D)
41•如【圖9】波形所示,下列函數式何者正確? (A) f ⑴=2(t - l)[u(t -1) - u(t - 2)] (B) f⑴=2t[u(t -1) - u(t - 2)] (C) f(t) = 2(1 - t)[u(t -1) - u(t - 2)] (D) f ⑴=(2 - t)[u(t- 1) - u(t -2)]
42.如【圖10】電路所示,當t = 0時開關打開,試求v(0
+
)為何? (A)5V (B) 10 V (C)8 V (D)6V
43•如【圖11】電路所示,戴維寧等效電路V&及R&為何? (A)2.5 V,3.45 Ω(B) 1.9 V,2.38 Ω (C) 1.9 V,3.55 Ω (D) 3.4 V,2.38 Ω
44.若f(t)=cos wt 則其拉氏轉換函數為F(s)為何?(A)
(B)
(C)
(D)
45•若f (t) = te-atu(t)則其傅氏轉換函數F( jw)為何? (A)
(B)
(C)
(D)
46.如【圖12】電路所示,試求10 A電流源提供之功率為何? (A)400W (B) 600 W (C) 1000W (D) 800 W
47•如【圖13】電路所示,試求電流i
a
為何? (A)3 mA (B) 1.2 mA (C) 5 mA (D) 2.5 mA
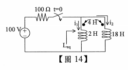
48•如【圖14】電路所示,試求等效電感L
eq
為何? (A)
H (B)
H (C)
h (D)
H
49•如【圖15】電路所示,試求流經2 Ω電阻之電流 為何? (A)
A (B)
A (C)
A (D)
A
50.平衡三相電路連接為Y接線,相序a c b,則線間電壓 組與相間電壓組相角差之敍述,下列何者為正確? (A)線間電壓組領先相間電壓組角度30° (B)線間電壓組領先相間電壓組角度60° (C)線間電壓組落後相間電壓組角度30° (D)線間電壓組落後相間電壓組角度60°
51.假設有一個通訊系統,其輸入功率為1 mW(毫瓦),輸出功率為0.5 mW,試算其增益(gain)為 多少? (A) 3 dB (B) -3 dB (C) 0.5 dB (D) -0.5 dB
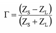
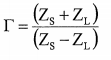
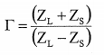
52.高頻的雙埠網路(Two Port Network)中,假設當輸入阻抗為Zs訊號源,輸出訊號到阻抗為Z
L
負載,則有關反射係數(Reflection Coefficient) r的定義,下列何者正確?(A)
(B)
(C)
(D)
53.通訊系統中的雜訊大致區分為「内在雜訊」與「外在雜訊」,下列那一項屬於内在雜訊? (A)大氣層雜訊 (B)熱雜訊(C)外太空雜訊 (D)環境雜訊
54.有一濾波系統其頻寬為2000 Hz〜5500 Hz,假設輸入之白色雜訊之功率密度為0.2 W/Hz,試 算輸出之雜訊強度為多少? (A) 300 W (B) 400 W (C) 700 W (D) 1100 W
55.假設載波功率為600W,在100%調幅時,試算調幅波中之總功率為多少? (A) 300 W (B) 600 W (C) 900 W (D) 1000 W
56.想要將一組二進位資料做64-QAM調變,則每種載波符號承載多少位元的資料量? (A)6 (B)5 (C)4 (D)3
57.假設兩個訊號f1及f2色的大小均為-5 dBm,輸入增益為20 dB的功率放大器,量得三階交互調 變失真訊號的大小為-15 dBm ’試求出此功率放大器的IP3(3 order Intercept Point)為多少? (A) 0 dBm (B) 10 dBm (C) 5 dBm (D) 15 dBm
58.假設一個特性阻抗為50 Ω的無耗損傳輸線,於終端接一負載後,取得其反射係數
=0.5, 試問該傳輸線的電壓駐波比(VSWR)為多少? (A)4 (B)3 (C)2 (D)l
59.判斷下列訊號何者為能量訊號? (A) x(0=Ae_atu(0 (B) x(0=Au(0 (C) %(t)=smt+2cost (D) x(t)=Acos((Oot)
60.假設某一放大器輸入端(Si)的信號功率20 dBm,輸出端(S。)的信號功率40 dBm,輸入端(Ni) 的雜訊功率2 dBm,輸出端(N。)的雜訊功率4 dBm,則其雜訊指數(F)為多少? (A)20 (B)2 (C) 10 (D) 1
申論題 (0)
相關試卷
114年 - 114 地方政府公務特種考試_三等_電力工程、電子工程、電信工程:電路學#134770
114年 · #134770
114年 - 114 專技高考_電機工程技師:電路學#133707
114年 · #133707
114年 - 114 專技高考_電子工程技師:電路學#133700
114年 · #133700
114年 - 114 公務升官等考試_薦任_電力工程、電子工程、電信工程:電路學#133241
114年 · #133241
114年 - 114 高等考試_三級_電力工程、電子工程、電信工程:電路學#128784
114年 · #128784
113年 - 113-2 國營臺灣鐵路股份有限公司_從業人員甄試_第8階-助理工程師-電機:電路學#137142
113年 · #137142
113年 - 113 地方政府公務特種考試_三等_電力工程、電子工程:電路學#124508
113年 · #124508
113年 - 113 專技高考_電機工程技師:電路學#123962
113年 · #123962
113年 - 113 專技高考_電子工程技師:電路學#123933
113年 · #123933
113年 - 113 高等考試_三級_電力工程、電子工程、電信工程:電路學#121512
113年 · #121512