阿摩線上測驗
登入
首頁
>
通信系統
> 101年 - 101年外交領事人員及外交行政人員、101年國際經濟商務人員、101年法務部調查人員、101年國家安全局國家安全情報人員、101年民航人員、101年經濟部專利商標審查人員、101年軍法官考調查人員五等_電子科學組#35957
101年 - 101年外交領事人員及外交行政人員、101年國際經濟商務人員、101年法務部調查人員、101年國家安全局國家安全情報人員、101年民航人員、101年經濟部專利商標審查人員、101年軍法官考調查人員五等_電子科學組#35957
科目:
通信系統 |
年份:
101年 |
選擇題數:
40 |
申論題數:
0
試卷資訊
所屬科目:
通信系統
選擇題 (40)
1 數位傳輸中發送端流程,下列何者正確? (A)取樣→量化→編碼 (B)取樣→編碼→量化 (C)編碼→量化→取樣 (D)量化→取樣→編碼
2 無線(wireless)傳輸通道通常被塑模(model)成下列何者? (A)二元對稱通道(binary symmetric channel, BSC) (B)二元抹拭通道(binary erasure channel, BEC) (C)萊利衰減通道(Rayleigh fading channel) (D)加成性白高斯雜訊通道(additive white Gaussian noise(AWGN)channel)
3 給予一序列(sequence)如下:
,其 z 轉換(z-transform)存在之收斂區域 (region of convergence, ROC)為何?(提示: 表示單位步階序列( nu ][ unit step sequence)) 1 (A)
(B)
(C)
(D)
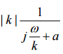
4 一個 QPSK(quadriphase shift keying)訊符(symbol)可以攜帶幾個位元(bit)的資訊? (A)1 (B)2 (C)3 (D)4
5 假設通道的頻寬(channel bandwidth)為 1Hz、接收到的訊雜比(signal to noise ratio)為 SNR=1。下列何者為沈 農訊息容量理論(Shannon’s Information Capacity Theory)提出的通道容量(channel capacity)(bits/sec)? (A)4 (B)1 (C)0.5 (D)2
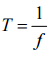
6 假設訊號 的最高頻率為 ,根據奈奎斯特取樣原理(Nyquist Sampling Theorem)欲復原原始訊號需滿 足何種要求? tx )( f f 1 2 f 1 (A)取樣頻率要大於 4 f (B)取樣頻率要大於 2 f (C)取樣週期要大於
(D)取樣週期要大於
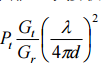
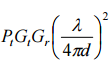
7 弗里斯自由空間方程式(Friis Free-Space Equation), Pt 為傳送端訊號功率, Gt 為傳送天線增益,Gr 為接 收天線增益, λ 為載波的波長,d 為傳送端和接收端的距離。求接收端訊號功率 為何? (A)
(B)
(C)
(D)
8 求 EIRP(an effective radiated power with respect to an isotropic radiator)為何? t t G P (A) P
t
+ G
t
(B)P
t
G
t
(C) P
t
- G
t
(D)
9 試求出連續時間型(continuous-time)訊號
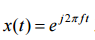
之平均功率(average power)為何? (A)0.1 (B)0.5 (C)1 (D)2
10 在做訊號的量化(quantization)時,量化位階(the step-size of the quantizer)的選取是很重要的。假設一個 連續型的訊號,其輸入訊號的振幅為(−m
max
, m
max
) ,L 為所有階層數,則下列何者為其量化位階?(A)
(B)
(C)
(D)
11 已知訊號的自相關函數為
,求此訊號的功率頻譜密度(power spectral density, PSD)為何? 2 N0 4 (A)
(B)
(C) N0 (D)2N
0
12 下列有關脈衝編碼調變(Pulse-code modulation, PCM)系統的特性敘述,請問何者為非? (A)能抵抗通道雜訊以及干擾 (B)經由使用特別的調變技術可以達到安全通信的目標 (C)由於 VLSI(Very-large-scale integration)技術的提升,使 PCM 系統所需元件價格成本降低 (D)無法使用 TDM(Time-Division Multiplexing)系統
13 有一非週期訊號x(t) ,其傅立葉轉換後可以得到 X(j ω),試問此非週期訊號之共軛(conjugation)訊號為x*(t)經過傅立葉轉換結果為何? (A)x(jω) (B) X(-j ω)(C) X*(-jω)(D)X*(jω)
14 在連續載波中,振幅調變技術包含了許多不一樣的調變方式,而每種調變方式所需要的傳輸頻寬也不同,請 選出下列何種調變技術所需的傳輸頻寬最小? (A)AM(Amplitude modulation) (B)DSB(Double sideband) (C)SSB(Single sideband) (D)VSB(Vestigial-sideband)
15 試求出訊號 x(t) = 5sin(10πt)之希爾伯轉換(Hilbert transform)為何? (A)− 5cos(10πt) (B)− 5sin(10πt) (C)10cos(10πt) (D)10sin(10πt)
16 M-ary PSK(phase shift keying)的通訊系統以每秒 2000 個符元(symbol)傳送訊息,當 M=8 時,求等效之 位元速率(bit rate)? (A)16000 bps (B)8000 bps (C)6000 bps (D)2000 bps
17 一個連續時間型(continuous-time)的線性非時變(linear time-invariant, LTI)系統的脈衝響應(impulse response) 表示為 。下列敘述何者為非? (A)若
,則表示系統為穩定(stable) (B) h(t)= δ (t) 是一個穩定(stable)的系統 (C)
不是一個穩定的系統 (D)若系統具有因果性(causal),在 t<0時
18 有一個系統,其輸入訊號為x(t) ,輸出訊號為
,則此系統為: (A)高通濾波器(high-pass filter) (B)低通濾波器(low-pass filter) (C)帶通濾波器(band-pass filter) (D)帶拒濾波器(band-stop filter)
19 若 x(t)的傅立葉轉換( Fourier transform)為 X(f),則X(f) 的計算公式為下列何者? (A)
(B)
(C)
(D)
20 下列有關訊號
之敘述何者不正確? (A)週期性訊號,週期為
(B)非週期性訊號 (C)功率訊號 (D)總能量是無限的
21 當系統有一個單位脈衝響應(impulse response)
,下列何者正確?(提示:u(t) 表示單位步階 函數(unit step function)(A)無因果性(non-causal)、有記憶性(memory)、穩定(stable) (B)因果性(causal)、無記憶性(memoryless)、不穩定(unstable) (C)無因果性(non-causal)、無記憶性(memoryless)、不穩定(unstable) (D)因果性(causal)、有記憶性(memory)、穩定(stable)
22 連續時間型(continuous-time)訊號 tx )( 的平均功率為 1W,下列何者為非? (A)x(t)的瞬時功率可以為時變 (B)x(t)的總能量為 0 (C) x(t)的總能量是無限的 (D) x(t)是一個功率訊號
23 假設一個線性非時變(linear time-invariant, LTI)的系統之頻率響應(frequency response)為 H(f),其輸入 為一隨機訊號X(t) 且其功率頻譜密度(power spectral density)為Sx(f) ,系統輸出為Y(t) 且其功率頻譜密 度為S
Y
(f)。其輸出的功率頻譜密度 為下列何者? (A) S
Y
(f) = S
X
(f)H(f)(B) S
Y
(f)=S
2
X
(f)H(f)(C) S
Y
(f)=S
X
(f) |H(f) |(D) S
Y
(f)=S
X
(f) |H(f)|
2
24 令 X 是均值(mean value)為 3(i.e.,E{X}=3)及變異數(variance)為 δ
2
x
=2之隨機變數,定義另一隨機變 數 Y = -3X+20,求 E{XY}=?(提示:E{}表示期望值運算子(expected-value operator)) (A)0 (B)27 (C)11 (D)33
25 令 X 為一均勻分佈之隨機變數,即 X~U(
a
,b),試求 E{X}=?(提示:E{}表示期望值運算子(expected-value operator)(A)b −
a
(B)b +
a
(C)
(D)2(b −
a
)
26 已知連續時間型(continuous-time)訊號x(t)=e
-at
u(t) 的傅立葉轉換為
,其中u(t) 表示單位 步階函數。下列何者是
的傅立葉轉換?(提示:u(t) 表示單位步階函數(unit step function) (A)
(B)
(C)
(D)
27 兩個線性非時變(linear time-invariant, LTI)的系統做串接(cascade connection)連結,其結果相當於單一線 性非時變系統其單位脈衝響應(impulse response)為兩個串接系統單位脈衝響應之摺積(convolution)運算 。若給定兩個串接系統單位脈衝響應分別為u[n] 及 δ[n] −δ [n − 1] ,試問等效線性非時變系統其單位脈衝響應 為何? (A)δ [n]-δ[n −1 ] (B)u[n] (C)δ [n] (D)u[n+1] −u[n-1]
28 若 x(t) 的訊號頻帶(spectral band)落在 0 Hz 至 30K Hz,則 x(t).cos (2π.100M.t) 的訊號頻帶落在那裡? (A)0 Hz 至 30K Hz (B)100M Hz 至(100M+30K)Hz (C)(100M-30K)Hz 至(100M+30K)Hz (D)(100M-30K)Hz 至 100M Hz
29 若 x(t) 的傅立葉轉換(Fourier transform)為 X(f),則 x(t/2) 的傅立葉轉換為何? (A)2X(2f) (B)2X(f) (C)X(f/2) (D)X2 (f)
30 若 x(t) 為一個系統的輸入訊號,而 y(t) 為輸出訊號,則下列那一個系統為線性(linear)系統? (A)y(t) = cos(x(t)) (B)y(t) = 3 · x(t) (C)y(t) = 2 · x(t) + 1 (D)y(t) = sin (x(t))
31 若 為 之 z-轉換(z-transform),其計算式為
,則z
-1
X(z)的反 z-轉換(inverse z-transform)為何? (A)
(B) x(n −1 ) (C)x(n).cos(n) (D)x
2
(n)
32 下列式子,何者為常態分佈(normal distribution)的型式? (A)
(B)
(C)
(D)
33 在數位通訊中,下列何種技術時常被用來對抗出現成串錯誤(error bursts)的情形? (A)資料壓縮(data compression) (B)卡曼濾波(Kalman filtering) (C)等化( equalization) (D)交錯打亂(interleaving)
34 在臺灣,許多廣播電台可以同時發射電波而不互相干擾;它們使用的是什麼技術? (A)分頻多工(frequency-division multiple access) (B)分時多工(time-division multiple access) (C)分碼多工(code-division multiple access) (D)跳頻式展頻傳輸(frequency-hopping spectrum-spreading transmission)
35 行動電話的天線長度約為電波波長的 1/4 倍,已知電波速度為 3× 10
8
m/sec,今有一行動電話,其載波頻率 為 2 GHz(也就是 2×10
9
cycles/sec),則其天線長度應該約為多少? (A)1 m (B)40 cm (C)4 cm (D)0.5 cm
36 若以 X 來代表一個網路伺服器(network server)在單位時間所收到要求服務的次數,則 X 通常被塑模( model)成何種分佈? (A)高斯(Gaussian) (B)波松(Poisson) (C)均勻(uniform) (D)二項式(binomial)
37 在封包(packet)加入迴旋冗餘檢測(cyclic redundancy check, CRC)的功能為何? (A)錯誤偵測(error detection) (B)資料壓縮(data compression) (C)保密(encryption) (D)同步(synchronization)
38 假設 x(t)及 y(t)均為週期函數,其週期分別為 4T 及 6T,則 x(t)+y(t) 也是週期函數,其週期為何? (A)10T (B)12T (C)24T (D)2T x x xSinc π
39 Sinc 函數的定義為
,請計算 之值為何? (A)-1 (B)0 (C)1 (D)1/2
40 一個二元(binary)的(15,11)線性方塊碼(linear block code)中有幾個不同的碼字(codeword)? (A)2
4
(B)2
15
(C)2
11
(D)26
申論題 (0)
相關試卷
114年 - 114 地方政府公務特種考試_四等_電信工程:通信系統概要#134755
114年 · #134755
114年 - 114 地方政府公務特種考試_三等_電信工程:通信與系統#134723
114年 · #134723
114年 - 114 公務升官等考試_薦任_電信工程:通信與系統#133270
114年 · #133270
114年 - 114 調查特種考試_三等_電子科學組:通信與系統#129592
114年 · #129592
114年 - 114 高等考試_三級_電信工程:通信與系統#128757
114年 · #128757
114年 - 114 普通考試_電信工程:通信系統概要#128733
114年 · #128733
113年 - 113 地方政府公務特種考試_四等_電信工程:通信系統概要#124540
113年 · #124540
113年 - 113 調查特種考試_三等_電子科學組:通信與系統#122111
113年 · #122111
113年 - 113 普通考試_電信工程:通信系統概要#121514
113年 · #121514
113年 - 113 高等考試_三級_電信工程:通信與系統#121501
113年 · #121501