阿摩線上測驗
登入
首頁
>
測量平差法
> 101年 - 101年專門職業及技術人員高等建築師、技師、第二次食品技師暨普通不動產經紀人、記帳士考高等_測量技師#26544
101年 - 101年專門職業及技術人員高等建築師、技師、第二次食品技師暨普通不動產經紀人、記帳士考高等_測量技師#26544
科目:
測量平差法 |
年份:
101年 |
選擇題數:
0 |
申論題數:
10
試卷資訊
所屬科目:
測量平差法
選擇題 (0)
申論題 (10)
【已刪除】⑴假設 A 為滿秩(full column rank),試推導未知向量 X 之最小二乘解
。(10 分)
【已刪除】⑵平差後之觀測向量為
= L +V ,其中 V 為殘差向量。試說明,當 A 不滿秩時,利 用最小二乘解推得之 V 仍為唯一(即不因 A 不滿秩而有多個解)。(10 分)
⑴計算此距離之最小二乘估值;(5 分)
⑵計算後驗單位權變方(令觀測量權皆為 1);(5 分)
⑶計算 20.10 m 觀測量之殘差及其後驗標準偏差;(5 分)
⑷以 95%信心水平,測試 20.10 m 是否為一粗差(tau 分布之臨界值為 2.346)。(5 分)
【已刪除】⑴
及
之相關係數(correlation coefficient)。(10 分)
【已刪除】⑵
及
之相關係數。(10 分)
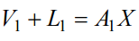
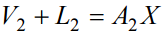
【已刪除】四、平差計算時,可採連續解(sequential solution)方式。其方式為將第一組觀測資料 估計之參數及相關法方程式保留。當獲得第二組資料時,用此資料更新參數。令第 一組資料之觀測方程式為:
第二組觀測方程式為:
其中L
1
、L
2
為觀測向量,V
1
、V
2
為殘差向量,A
1
、A
2
為設計矩陣。請依連續解列出 求解 X 步驟。(20 分)
【已刪除】五、已知矩陣 A 滿足
,試求 A
−1
(以 A、B 表示)。(20 分)
相關試卷
114年 - 114 專技高考_測量技師:測量平差法#133674
114年 · #133674
113年 - 113 專技高考_測量技師:測量平差法#123916
113年 · #123916
112年 - 112 地方政府特種考試_四等_測量製圖:測量平差法概要#118357
112年 · #118357
112年 - 112 地方政府特種考試_三等_測量製圖:測量平差法#118336
112年 · #118336
112年 - 112 專技高考_測量技師:測量平差法#117672
112年 · #117672
112年 - 112 原住民族特種考試_四等_測量製圖:測量平差法概要#116432
112年 · #116432
112年 - 112 高等考試_三級_測量製圖:測量平差法(包括誤差理論及實務)#115538
112年 · #115538
112年 - 112 普通考試_測量製圖:測量平差法概要#115315
112年 · #115315
111年 - 111 地方政府特種考試_三等_測量製圖:測量平差法#112400
111年 · #112400
111年 - 111 地方政府特種考試_四等_測量製圖:測量平差法概要#112399
111年 · #112399