所屬科目:四技二專統測◆數學S
1. 設向量 = (3 ,-2), = (4,- 3), = (1, 0) ,則向量為何? (A) ( -8 ,5) (B) (5 ,-8) (C) ( -5 ,8) (D) (8,- 5)
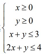
2. 在二元一次聯立不等式的條件下,函數 f (x,y ) 5x+6y的最大值為何? (A) 17 (B) 18 (C) 19 (D) 20
3. 設 A(2,3) ,B(0, -1) ,C (-1,k ) 。若 C 為線段 的垂直平分線上之點,則k 為何? (A) -3 (B) -2 (C) 1 (D) 2
4. 坐標平面上兩點 A(1,3) , B(0,4),則向量的長度為何? (A) 0 (B) √2 (C) √8 (D) √26
5. 下列何者為f(x)=x3+5x2+x 的因式? (A) x +1 (B) x -1 (C) x - 2 (D) x + 2
6. 下列向量中何者為單位向量? (A) (0 ,1) (B) (C) (1 ,1) (D)
7. 設向量 (5t , 3) , = (60 , -9),若平行,則t為何? (A) -5 (B) -4 (C) 0 (D) 5
8. 關於方程式2x3-x2-5x-2的根,下列敘述何者正確? (A) 三根中有兩根相等 (B) 三根的和為-1 (C) 三根的乘積為 1 (D) 三根中最小的根為-2
9. 化簡 √128-√98+√200之結果為何? (A) 11 (B) 11√2 (C) √230 (D)
10. 設 L 1:kx+y-3=0 , L2: x+ky+3=0 (其中k 為常數)。若L1、L2 兩直線重合,則k 為何? (A) -1 (B) 1 (C) 3 (D) 9
11. 通過兩直線 x+6y-2=0與 3x+4y-6的交點並與直線x-y=0 平行的直線方程式為何? (A)x-y+2=0(B) x-y-1=0 (C) x-y-1=0 (D) x-y+3=0
12. 兩平行直線 L1:3x+4y-3=0 、 L2:6x+8y+9=0 間的距離為何? (A)(B) 1 (C)(D) 3
13. 坐標平面上,二元一次聯立不等式所圍成的三角形區域面積為何? (A) (B) 1 (C)(D) 5
14. 設圓的圓心在點(0,0 ) 且通過點(3,4)則圓的方程式為何? (A)x2+y2=5 (B)x2+y2=10 (C)x2+y2=20(D)x2+y2=25
15. 設圓 x2+y2-2x+2y+k=0(其中k 為常數)與直線x-2=0 相切,則k 為何? (A) -1 (B) 0 (C) 1 (D) 2
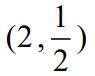
16. 設 A (1,0) ,B(3,0) ,C( 1,2) ,則∠CAB 之度數為何? (A) 120° (B) 135° (C) 150° (D) 160°
17. 設平面上有 A 、 B 、 C 三點共線,且已知點 B 在線段 上。若坐標分別為 A(a,b ) , B( -3,3),C(1,1) , 且,則a 、b 之值為何? (A) =-11,b=7 (B)a=-7,b=7 (C) a=-5,b=4 (D) a=-4,b=5
18. 設二次函數y=f(x)=ax2+bx+c圖形的頂點為 (1,3) 且交 y 軸於點 (0,1) ,則下列 a 、b 之值,何者正確? (A) a=-2,b=4 (B) a--1,b=2 (C)a=1,b=-2 (D)a=2,b=4
19. 若直角三角形 ABC 之C 為直角且 ,則之值為何? (A) (B)(C)(D)
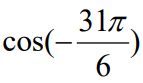
20. 之值為何? (A)(B) (C)(D)
21. 設<a<π,0<β<, sin a = , tanβ= ,則sin(a+β ) 之值為何? (A) (B) (C)(D)
22. 若 sinθ cos= ,則 tanθ +cot θ之值為何? (A) (B) 1 (C) (D)
23. 已知點 P(a-b,ab) 在坐標平面的第四象限,則下列敘述何者正確? (A) A(a,-b ) 在第一象限 (B) 在第二象限 (C)在第三象限 (D)在第四象限
24. 若< θ<π 且 sinθ= ,則tan2θ 之值為何? (A) (B) (C) (D)
25. 若f(x)=x4+5x3+x-1,g(x)=x2-2 且 f (x) 除以 g(x) 的餘式為ax+b ( a , b為常數),則2a-3b 為何? (A) -27 (B) -7 (C) 5 (D) 13