所屬科目:四技二專統測◆數學S
2. 若三次方程式 ( x + 3)( 2 x -1)( x - 2 ) = 0 的解為 a 、 b 與 c ,則 a + b + c = ? (A) - 2 (B) (C) 2 (D)
3. 圖(一)中,坐標平面上二點 A( a , b ) 、 B( c , d ) 。若另有一點 C,其坐標為 ( ac , bd ) , 試問點 C 在第幾象限? (A) 第一象限 (B) 第二象限 (C) 第三象限 (D) 第四象限
4. 已知直線 5x + 12 y = c 與直線 5x + 12 y = 13 的距離為 2。若 c ≥ 0 ,則 c = ? (A) 0 (B) 13 (C) 26 (D) 39
5. 圖(二)中,有一圓心在原點 O 的單位圓,且 B 為 x 軸與圓的交點,而 A 為圓上另一點。 已知 ∠AOB = θ,D 為上一點,且垂直 x 軸,垂足分別為 C、B。試問下列 選項中哪一個線段長為 tan θ? (A) (B) (C) (D)
7. 如圖(三)所示,大小兩齒輪半徑各為 80 公分和 25 公分,兩齒輪以一鏈條緊密連接。若大齒輪轉動一圈,且轉動過程中鏈條沒有斷裂,則小齒輪轉動多少角度 ( 以弧度表示 ) ? (A)2π (B)16π (C) (D)
8. 某產品在網路上銷售,買家以星等一 ~ 五顆星的方式評價該產品,星等越多評價 越好 。 若該產品某時 刻的評價星等與人數統計如圖 (四 ) , 試求此時該產品評價的算術平均數 N=?( 四捨五入到小數第一位 ) (A) 3.5 (B) 3.7 (C) 3.9 (D) 4.1
11. 某廠牌手機型號 MS2021 有五種顏色:黑、白、綠、紅、藍。甲、乙兩人打算各自購買 該型號手機一支,且不互相影響。若每種顏色的手機被購買之機率均相等,則甲、乙購買同色手機之機率為何? (A) (B) (C) (D)
12. 如圖(五)所示,點 A( -1, 1) 是圓 C 的圓心,且點 B( - 1, - 1) 是圓 C 上一點,則下列何者 是圓 C 的方程式? (A) x 2 + y 2 - 2 x + 2 y - 4 = 0 (B) x 2 + y 2 + 2 x - 2 y - 2 = 0 (C) x 2 + y 2 - 2 x - 2 y - 2 = 0 (D) x 2 + y 2 + 2 x + 2 y - 4 = 0
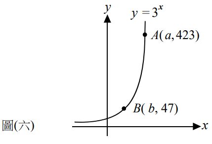
13. 點 A( a , 423) 與點 B( b , 47 ) 在函數的圖形上,如圖(六)所示,則 a – b = ? (A) - 2 (B) 2 (C) - 3 (D) 3
14. 已知 r > 1 且函數的圖形通過點 P,如圖(七)所示。若點 P 坐標為 ( ab , c ) ,則 c 之值為何? (A) 7 (B) 9 (C) 12 (D) 16
15.「舞台九宮格」是把舞台平面劃分為九個區位,如圖(八)所示。編舞老師安排甲、乙、丙三位 表演者在演出的某個時段中站在三個不同的區位。若該時段編舞老師將甲安排在「E」區位, 試問此時乙、丙位置安排的可能性有幾種? (A) 28 (B) 36 (C) 56 (D) 72
16. 圖(九)中,給定二直線 L 1 : y = m1x + b1 與 L2 : y = m2x + b2 ,則下列敘述何者正確? (A) m1 < m 2 且 b 1 > b 2 (B) m1 < m 2 且 b 1 < b 2 (C) m1 > m 2 且 b 1 > b 2 (D) m1 > m 2 且 b 1 < b 2
17. 圖(十)中,直線 L : 2 x - y + 2 = 0 將坐標平面分成 A、B 兩半平面,其中 A 為直線 L 的左側 半平面。若點 P( - 2, k ) 在半平面 A 上,則下列何者正確? (A) k > - 2 (B) k < - 2 (C) k > - 3 (D) k < - 3
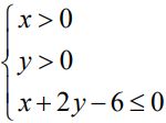
18. 圖(十一)中,直線 L 為方程式 x + 2 y - 6 = 0 的圖形。已知 x 與 y 都是整數,且 ( x , y ) 是聯立不等式 的解,試問滿足上述條件的點 ( x , y ) 共有幾個? (A) 4 (B) 5 (C) 6 (D) 8
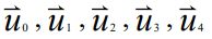
19. 圖 ( 十 二 ) 中 , 為起點在原點的五個單位向量 , 其中。 令,則下列何者正確? (A) x4 < x3 < x2 < x1 (B) x2 < x3 < x1 < x4 (C) x3 < x2 < x4 < x1 (D) x1 < x2 < x3 < x4
20. 若點 P( - 1, - 2) 為標準位置角 θ終邊上的一點,則 cos ( 90° + θ ) = ? (A) (B) (C) (D)
21. 若 θ 為第二象限角,且 cos 2 θ = ,則 tan θ = ? (A) (B) (C) (D)
22. △ABC 中, ∠A = 105° , ∠B = 45° , = 5 ,則 △ABC 外接圓半徑為何? (A) 10 (B) 5 (C) (D)
23. 已知 a 為實數,且多項式被 x + 1 除的餘式為 8,則 a = ? (A) 1 (B) 2 (C) 3 (D) 4
25. 地球 到 太陽 的 平 均距 離稱 為 「 1 天文 單 位 (A.U.)」 。 天文 學 家 在某 一 時刻 從 地球 觀 測 , 發 現 地 球 和 太 陽 的 連 線 與 地 球 和 木 星 的 連 線 之 夾 角 恰 為 120° , 如 圖 ( 十 三 ) 所示。已知此時木星距離太陽約為 5.1 個天文單位,試問此時地球距離木星約為 多少個天文單位? (四捨五入到小數點第一位, 5.1 2 ≅ 26 , ≅ 10 ) (A) 4.5 (B) 4.8 (C) 5.3 (D) 5.5