所屬科目:四技二專統測◆數學S
1. 已知直線y=x+2上兩點 P 和 Q 的 x 坐標分別為1 和 2,則 P 和 Q 兩點的距離為何? (A)3√2(B)2√3 (C) 3 (D) 2
2. 已知拋物線y=x2+1上兩點 P 和 Q 的 x 坐標分別為1 和 3。若線段的中點坐標為(a ,b)則 a+b=?(A) 1 (B) 3.5 (C) 7 (D) 14
3. 已知直線 L 過點 (4 , 1) ,且與直線y=2x+3 平行。試問直線 L 的 y 截距為何? (A) 1 (B) 2 (C) 3 (D) 5
4. 已知多項式x3+3x2+ax+b除以x2+2x+1的商式和餘式相等。試問a+2b (A) 3 (B) 5 (C) 6 (D) 8
5. 已知多項式f(x)=x2+ax+b。若 f(x)和x2+1除以x-2有相同餘式,且f(x)和x2+2 除以 x -1 有相同餘式。試問2a+3b (A) 5 (B) 7 (C) 8 (D) 11
6. 已知 a 和 b 為二次方程式x2-3x-1=0的兩個解。試問│a│+│b│ (A) 16 (B) 20 (C) 36 (D) 56
7. 已知 a 和 b 為二次方程式x2-3x-1=0的兩個解。試問以a+b和 a×b為兩個解的二次方程式為何? (A)x2-2x-3=0 (B)x2-3x-2=0 (C)x2-5x-3=0 (D)x2-5x-2=0
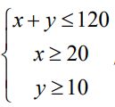
8. 在坐標平面上,已知 R 為二元一次聯立不等式所圍的區域。試問 R 的面積為何? (A) 36 (B) 48 (C) 54 (D) 72
9. 在坐標平面上,已知 R 為二元一次聯立不等式所圍的區域。若 M 和 m 分別為函數f( x,y) =20x+10y在 R 中的最大值和最小值,則 M -m=? (A) 500 (B) 1250 (C) 1800 (D) 2300
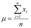
10. 已知一等差級數3+5+7+...+31之和為 S 。試問 S=? (A)(B)(C) (D)
11. 已知一等比數列 ,其中 b3 =2 ,b7=10。試問 =? (A) 20 (B) 50 (C) 100 (D) 200
12. 已知一有向角 θ =12 弧度。若其頂點與直角坐標的原點重合,始邊與 x 軸正向重合。試問其終邊落在第幾象限? (A) 第一象限 (B) 第二象限 (C) 第三象限 (D) 第四象限
13. 已知θ=3073° 。試問下列何者正確? (A) sinθ<0 (B) tanθ<0 (C) secθ>0 (D) cscθ>0
14. 已知secθ= ,0 ≤θ≤ 。試問下列何者正確? (A)(B)(C)(D)sinθ+cosθ=1
15. 已知坐標平面上三點 A (2,-3 ) 、 B( -5、7 ) 、C(9 , 11) 。試問下列何者可與 A 、 B 、C 三點 連成一平行四邊形? (A)(2 , 21) (B) ( -11 ,-7 )(C) (2 , 5)(D) (16,2)
16. 已知坐標平面上四點 A (2 , -3) 、B (5 , 7)、C ( 9,11)、D(-13 , 17) 。試問向量內積=? (A) - 20 (B) - 6 (C) 14 (D) 20
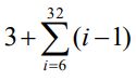
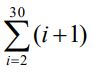
17. 試問 =? (A) 234 (B) 246 (C) 282 (D) 324
18. 已知log2約等於 0.3010。若 ,則 a 為幾位數? (A) 21 (B) 22 (C) 23 (D) 24
19. 在坐標平面上,已知一圓方程式為(X-4)2+(Y-5)2=16 。試問下列何者正確? (A) 該圓與 x 軸有一交點 (B) 該圓與 x 軸有二交點 (C) 該圓與 y 軸有一交點 (D) 該圓與 y 軸有二交點
20. 已知一圓半徑為 r 且圓心在 (4 , 4) 。若該圓與直線X+Y=0有二交點,則下列何者可為 r 之值? (A) 3 (B) 4 (C) 5 (D) 6
21. 已知 ABC 中,三邊長分別為 。試問 cosC 介於下列哪一個區間? (A)(B)(C) (D)
22. 將 5 男生與 5 女生分組成 5 對男女混聲二重唱。試問有多少種可能之分組? (A) 15 (B) 25 (C) 120 (D) 360
23. 已知甲乙二人可能出現在音樂會會場之情況有下列四種:
(一)只有甲出現之機率為 0.3;
(二)只有乙出現之機率為 0.2;
(三)甲乙二人都出現之機率為 0.2;
(四)甲乙二人都不出現之機率為 0.3。
試問甲乙二人至少有一人出現之機率為何? (A) 0.2 (B) 0.5 (C) 0.7 (D) 0.9
24. 已知五位學生之數學成績分別為 64、64、70、72 及 a 。若他們的成績的算術平均數為 67, 則 a = ? (A) 64 (B) 65 (C) 71 (D) 74
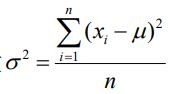
25. 已知一母群體數值為 35、20、14、22、34。試問其母群體變異數為何? (註:變異數,平均數 ) (A) 336 (B) 125.8 (C) 67.2 (D) 25