阿摩線上測驗
登入
首頁
>
工程力學(含靜力學、動力學與材料力學)
> 101年 - 101 臺灣菸酒股份有限公司_從業評價職位人員甄試_鍋爐技術員、冷凍技術員:工程力學#26743
101年 - 101 臺灣菸酒股份有限公司_從業評價職位人員甄試_鍋爐技術員、冷凍技術員:工程力學#26743
科目:
工程力學(含靜力學、動力學與材料力學) |
年份:
101年 |
選擇題數:
40 |
申論題數:
0
試卷資訊
所屬科目:
工程力學(含靜力學、動力學與材料力學)
選擇題 (40)
1.下列哪一個不是力量的單位? (A) mN(B) N‧m (C)µN (D)kg·m/s
2
2.如【圖 2】之施力結構,試求 800N 與 600N 兩力之合力大小約為多少 N?(註:sin 30
o
=0.5, cos 30
o
=0.866) (A) 200 (B) 720 (C)1,000 (D)1,400
3.如【圖 3】所示,為受 100N 力之結構,試求其對 O 點之力矩為多少 N·m? (A) 539 (B) 500 (C) 460 (D)200
4.如【圖 4】之滑輪組,假設摩擦可不計之情形下,要拉起 600N 重物所需之力量 P 為多少 N? (A)150 (B) 200 (C)300 (D) 600
5.如【圖 5】有個 50kg 重物置於地面並從靜止受 P=200N 之施力,假設地面之靜摩擦係數為 0.3、動摩擦 係數為 0.2,重力加速度為 10 m/s
2
,試求重物與地面間之摩擦力為多少 N? (A) 100 (B) 150 (C)200 (D)300
6.有一軸向受力之均勻桿件,受力前長度為 100mm,受力後長度變為 99.8mm,則桿件之軸向正向應變(normal strain)為多少? (A) +0.002(B) -0.002 (C)+0.002mm (D)-0.002mm
7.如【圖 7】所示之三角形面積,若底為 b、高為 h,試求其形心 G 之位置座標
為多少? (A)
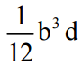
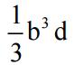
(B)
(C)
(D)
8.如【圖 8】所示之工字樑,試求截面對 x 軸之慣性矩約為多少 mm
4
? (A) 1.47 × 10
8
(B)9.38 × 10
7
(C)5.27 × 10
7
(D)2.51 × 10
6
9.有關材料之單軸向拉伸試驗,下列敘述何者錯誤? (A)比例限(proportional limit)前應力-應變曲線之斜率即為材料之楊氏係數 (B)工程應力-應變曲線之最高點應力為材料抗拉強度(ultimate strength) (C)脆性(brittle)材料如陶瓷材料,一般沒有降伏強度(yield strength) (D)中低碳鋼材料降伏(yielding)後緊接著產生頸縮(necking)的現象
10.有關馬達傳動之敘述,下列何者錯誤? (A)相同功率之馬達,轉速越快,傳動扭矩越小(B)相同轉速下,功率越大、扭矩越大 (C)轉動方向不影響馬達之功率 (D)1 馬力(hp)之馬達較 1kW 之馬達功率為大
11.如【圖 11】之懸臂樑,截面為邊長 225mm 之正方形,試求樑內之最大彎曲應力為多少 MPa? (A) 10.5 (B) 20.5 (C)30.5 (D)40.5
12.如【圖 12】之 H 型鋼截面(W460×68),截面模數 Z(section modulus)為 1.29 ×10
6
mm 3,垂直面上承受彎 矩 M 為 258kN·m,材料之降伏強度為 300MPa,則受彎矩之安全因數為多少?(註:
) (A) 1.0 (B) 1.5 (C)2.0 (D)2.5
13.在一水平面上以一仰角射出一球,假設球之初始速度固定為 12m/s,重力加速度為 9.8m/s
2
,空氣阻力可 不計,試求球可拋出之最遠水平落地距離約為多少 m?(提示:sin45
o
=0.707,45
o
仰角可拋投最遠) (A)7.4(B)14.7 (C)20.8 (D)29.4
14.如【圖 14】有相同半徑 r 與質量 m 之一顆球與一個圓柱,球之轉動慣量(mass moment of inertia)為 0.4
2
mr 、 圓柱之轉動慣量為 0.5mr
2
,從靜止狀態滾下一斜坡,假設物體與斜面間為純滾動而不打滑且不計其他阻力,試 求球與圓柱中心垂直下降相同高度 0.5m 時,哪一個中心的移動速度比較快? (A)圓柱(B)球 (C)一樣快 (D)條件不夠,無法決定
15.有關車輛碰撞之敘述,下列何者錯誤? (A)大車與小車碰撞,小車所受加速度較大(B)大車與小車碰撞,小車所受力量較大 (C)兩車相對速度值愈小,碰撞力愈小(D)車體變形吸收能量,增加碰撞時間,降低碰撞之作用力
16.有關線性彈簧受力變形之敘述,下列何者錯誤? (A)拉伸時彈簧位能(potential energy)為正值,壓縮時為負值 (B)彈簧受力變形遵守虎克定律(Hooke’s law) (C)彈簧在自由長度時,彈簧位能為零 (D)N/m 為彈簧常數(spring constant)之單位
17.由摩林所得之摩擦定律,下列敘述何者錯誤? (A)摩擦力之大小與接觸面之正壓力有關(B)摩擦力之大小與接觸面積大小有關 (C)靜摩擦係數比動摩擦係數大 (D)摩擦力之方向與運動方向相反
18.作用於物體上的力可沿著其作用線任意移動,而不影響物體的外部效應,所以力是何種向量? (A)自由向量(B)滑動向量 (C)拘束向量(D)限制向量
19.有關力之敘述,下列何者錯誤? (A)一個力系最多只有一個合力(B)一個力只能沿 x 軸及 y 軸分解成兩個分力 (C)合力不一定大於分力(D)一個合力及其分力和,兩者對物體產生相同的外部效應
20.將大小為 10N 的力分解成水平及垂直兩分力,若已知水平分力為 8N,則垂直分力為: (A) 6N(B) 8N (C)10N (D)
21.有兩力作用在一物體上,若物體呈現平衡狀態,則此二力之敘述,下列何者正確? (A)大小相等,方向相反,作用在同一點上(B)大小相等,方向相同,作用在同一點上 (C)大小相等,方向相反,作用在同一直線上(D)大小相等,方向相同,作用在同一直線上
22.如【圖 22】所示,有一力 F = 100 N 作用在座標為(-1, 3) m的點上,求此力對原點的力矩為何? (A) 260 N×m
(B) 100 N×m
(C)260 N×m
(D)100 N×m
23.一質點由靜止開始以等加速度運動,最初 10 秒內行走 200m 之距離,則此質點之加速度為多少 m/sec
2
? (A) 2(B) 3 (C)4 (D)5
24.如【圖 24】所示為一同平面平行力系,其合力之作用位置到 A 點之距離為多少m ﹖ (A) 1.5 (B) 2.62 (C)3.13 (D)4.62
25.如【圖 25】所示之一對力偶,其力偶矩為多少 N‧ m? (A) 200 (B) 250 (C)425 (D)500
26.一組同平面不共點之力系,在平衡時,最多可求得之未知力數目為多少個? (A) 1(B) 2 (C)3 (D)4
27.長度為 R 的繩子,繫住一質量為 m 之球體,作鉛直面上的圓周運動。已知球體在最高點時,繩子張力等 於 mg(g 為重力加速度),求該球體在最高點的切線速度為多少(m/sec)? (A)
(B)
(C)0 (D)
28.如【圖 28】所示,重 10 kg 的物體放置在摩擦係數為 0.1 的斜面上,受 P = 200N 的外力作用,求物體的 加速度 a (m/sec
2
)? (A) 9.81 (B) 14.25 (C)21.38 (D)28.50
29.有一物體的形狀對稱於y軸,下列何者正確? (A)
= 0(B)
= 0 (C)重心必在原點 (D)
0且
0
30.如【圖 30】所示,兩塊板採用
10 mm 的鉚釘固定聯接,已知鉚釘材質可承受τ = 25 MPa 的剪應力,當 外力P = 10 kN 時,至少需要幾根鉚釘才能保持安全? (A) 4 (B) 5 (C)6 (D)7
31.以螺栓(bolt)鎖合兩個物件,該兩物件承受拉力,請問鎖合螺栓承受哪種應力? (A)壓應力(B)拉應力 (C)剪應力(D)彎應力
32.受力剛體上的某一點的應力狀態分析,在某個角度時的應力狀態,只有垂直應力(normal stress),而沒有 剪應力,請問該垂直應力在定義上稱為什麼? (A)主應力(principal stress)(B)最大主應力 (C)最小主應力(D)破壞應力
33.在使用莫耳圓(Mohr’s circle)作應力之座標轉換時,莫耳圓之半徑為: (A)材料之主應力值(B)材料之最大剪應力 (C)材料之主應力差值(D)材料之主應變
34.【圖 34】中,長方形高 d ,寬 b,x 軸與 y 軸為其形心軸。長方形對底軸的慣性矩為: (A)
(B)
(C)
(D)
35.長 100 cm,半徑 2.5 cm 的圓棒受一軸向壓力後,長度減為 99 cm,而半徑增為 2.506 cm。據此,得蒲松 比(Poisson’s ratio)為: (A) 0.06(B) 0.12 (C)0.20 (D)0.24
36.一簡支樑,長 6 m,承受垂直向下的均佈載重 12 kN/m。不考慮自重,其最大彎矩為若干 kN‧ m? (A) 54(B) 60 (C)72 (D)108
37.承上題,距端點 1 m 處截面的剪力為若干 kN? (A) 0(B) 12 (C)18 (D)24
38.有關樑之彎矩與剪力之敘述,下列何者錯誤? (A)若剪力圖為二次拋物線,則彎矩圖為三次拋物線(B)最大彎矩發生在剪力為零的截面 (C)集中載重的彎矩圖為折線(D)樑受負彎矩圖所生的彎曲變形凸向上
39.如【圖 39】之 3 個質點系統,其分別之質量與位置為:W
1
=2 kg,(x1,y1)=(1,0);W
2
=1 kg,(x2,y2)=(3,0); W
3
=2 kg,(x3,y3)=(2,2),則其系統質心CG.)之 x 座標為: (A) 1.5(B) 1.8 (C)2.0 (D)2.5
40.材料變形時之應變(strain),其物理量之單位為: (A)長度(B)(長度)
0.5
(C)力量/(長度)
2
(D)無因次(dimensionless)
申論題 (0)
相關試卷
114年 - 114 專技高考_機械工程技師:工程力學(包括靜力學、動力學與材料力學)#133710
114年 · #133710
114年 - 114 公務升官等考試_薦任_機械工程:工程力學(包括靜力學、動力學與材料力學)#133242
114年 · #133242
114年 - 114 專技高考_專利師(選試專業英文及工程力學)、專利師(選試專業日文及工程力學):工程力學#130105
114年 · #130105
114年 - 114 關務特種考試_三等_機械工程(選試英文):工程力學(包括靜力學、動力學與材料力學)#126623
114年 · #126623
113年 - 113 臺灣菸酒股份有限公司_從業評價職位人員試題_鍋爐:工程力學#132351
113年 · #132351
113年 - 113 專技高考_機械工程技師:工程力學(包括靜力學、動力學與材料力學)#123897
113年 · #123897
113年 - 113 專技高考_造船工程技師:工程力學(包括靜力學、動力學與材料力學)#123895
113年 · #123895
113年 - 113 專技高考_專利師(選試專業英文及工程力學)、專利師(選試專業日文及工程力學):工程力學#122211
113年 · #122211
113年 - 113 關務特種考試_三等_機械工程(選試英文):工程力學(包括靜力學、動力學與材料力學)#119496
113年 · #119496
113年 - 113 臺灣港務股份有限公司_新進從業人員甄試_師級_機械:工程力學(包括靜力電、動力學與材料力學)#118827
113年 · #118827