阿摩線上測驗
登入
首頁
>
迴歸分析
> 101年 - 101 高等考試_三級_統計:迴歸分析#26566
101年 - 101 高等考試_三級_統計:迴歸分析#26566
科目:
迴歸分析 |
年份:
101年 |
選擇題數:
0 |
申論題數:
13
試卷資訊
所屬科目:
迴歸分析
選擇題 (0)
申論題 (13)
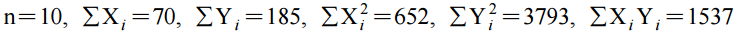
【已刪除】一、若
,請計算 表中所列(1)~(4)的簡單線性迴歸的參數估計值與標準誤。(16 分)
【已刪除】二、下表所列為四個自變數X
1
,X
2
,X
3
,X
4
的複迴歸問題,分別以其中一個為因變數, 而以其他三個為自變數時,所得到的判定係數R
2
。請計算(1)~(4)變異數膨脹因子 (Variance Inflation Factor, VIF)。(8 分)
⑴請利用最小平方法計算參數β
0
與β
1
之估計值。(10 分)
⑵請計算判定係數R
2
之值。(5 分)
⑶請計算參數β
1
估計值b
1
之估計標準誤(standard error)。(5 分)
⑴請計算檢定 H0: E[Y]=β
0
+ β
1
X
1
+ β
3
X
3
vs. H
a
: E[Y]=β
0
+ β
1
X
1
+ β
2
X
2
+ β
3
X
3
之檢 定統計值。(3 分)
【已刪除】⑵請計算檢定H
0
: E[Y]= β
0
+β
1
X
1
vs. H
a
: E[Y]= β
0
+β
1
X
1
+ β
2
X
2
+ β
3
X
3
之檢定統計值。(3 分) 次若Y對X
3
之迴歸的ANOVA表如下:
【已刪除】
⑶請計算(1)、(2)及檢定H
0
: E[Y]=β
0
+ β
3
X
3
vs. Ha: E[Y]= β
0
+
β
1
X
1
+ β
2
X
2
+ β
3
X
3
之 檢定統計值。(6 分) 又若樣本數n=22,且因變數Y與自變數X
1
、X
2
、X
3
之複迴歸所得的相關係數矩陣如 下:
⑷請計算偏相關係數(partial correlation coefficients)r
Y1.2
(3 分)和r
Y2.13
(6 分)之 值。
⑴請以 bonferroni 法計算β
1
,β
2
與β
3
之 94% 聯合信賴區間(simultaneous confidence intervals)。(12 分)
⑵請計算2β
1
+β
2
+ β
3
的 96%信賴區間。(8 分)
⑴請計算檢定H
0
: β1 = β
2
=0 vs. 與β
2
不全為 0 的檢定統計值。(6 分)
⑵請計算β
0
, 與β
1
β
2
之估計值。(9 分)
相關試卷
112年 - 112 地方政府特種考試_三等_統計:迴歸分析#118385
112年 · #118385
112年 - 112 高等考試_三級_統計:迴歸分析#115743
112年 · #115743
111年 - 111 地方政府特種考試_三等_統計:迴歸分析#112613
111年 · #112613
111年 - 111 高等考試_三級_統計:迴歸分析#109790
111年 · #109790
110年 - 110 地方政府特種考試_三等_統計:迴歸分析#104899
110年 · #104899
110年 - 110 高等考試_三級_統計:迴歸分析#102644
110年 · #102644
109年 - 109 地方政府特種考試_三等_統計:迴歸分析#94683
109年 · #94683
109年 - 109 高等考試_三級_統計:迴歸分析#88984
109年 · #88984
108年 - 108 地方政府特種考試_三等_統計:迴歸分析#81611
108年 · #81611
108年 - 108 高等考試_三級_統計:迴歸分析#77833
108年 · #77833