阿摩線上測驗
登入
首頁
>
技師◆工作研究
> 103年 - 103年第一次中國工業工程學會工程師證照考試-工作研究#16136
103年 - 103年第一次中國工業工程學會工程師證照考試-工作研究#16136
科目:
技師◆工作研究 |
年份:
103年 |
選擇題數:
34 |
申論題數:
0
試卷資訊
所屬科目:
技師◆工作研究
選擇題 (34)
1. 十七種動素(Therbligs)可分為第一類:進行工作必要的動素;第二類:阻礙第一類工作進 行的動素;第三類:對工作無益的動素,請問下列何者為第二類動素? (A)拆卸(disassemble) (B)移動(move) (C)對準(position) (D)遲延(unavoidable delay)
2. 下列那一個敘述不符合動作經濟原則? (A)曲線運動較直線且有方向轉折的運動為佳 (B)雙手的動作應同時、反向、對稱 (C)手之動作應以級次最高者為之 (D)儘量應用物之自然重力
3. 下列何者並不屬於吉爾博斯(Gilbreths)所研究出的動素? (A) 握取 (B) 對準 (C) 旋轉 (D) 裝配
4. 在馬錶時間研究中,工作單元劃分的考慮,下列何者不正確? (A) 外來單元應詳細記錄 (B) 人力與機器單元應分開 (C) 工作單元劃分愈長愈佳 (D) 規則單元與間歇單元應分清楚
5. 下列何者在制定標準時間時,不應列入寬放? (A) 領班交代工作任務 (B) 作業員調整工作椅高度 (C) 待料 15 分鐘 (D) 工作中途喝水
6. 下列何者是使用碼錶來量測標準工時之計算公式 (標準工時(ST),觀測平均時間(OT), 評比值(R),寬放率(A)):
(A)
(B)
(C)
(D)
7. 工作抽查法(Work Sampling)較適合用來直接量測下列何者資訊? (A)機器使用率 (B)人工插件作業生產線員工標準工時 (C)人機配置 (D)動作經濟原則
8. MTM 中的 1000TMU 相當於: (A) 16 秒 (B) 26 秒 (C) 36 秒 (D) 46 秒
9. 某些製程本身太過龐雜,有好幾位操作員操作數個工作。為要了解其機台與作業員之間 的閒置狀態,使用下列何種圖形來分析較為恰當? (A) 操作程序圖 (B) 左右手程序圖 (C) 組作業程序圖 (D) 人機圖
10. 工作抽查進行時,若所設之精確度越高,則觀測次數 (A) 越多 (B) 越少 (C) 沒有直接關係 (D) 不一定
11. 下列何者最適合用來分析重複性高的人工操作? (A) 工作中心負荷圖 (B) 甘特圖 (C) 操作人程序圖 (D) 流程程序圖
12. 時間研究分析師在選取操作員,若有數名操作員可供選擇時,應選取何種操作員? (A) 低標操作員 (B) 平均操作員 (C) 高標操作員 (D) 從操作員中隨機選取
13. 利用馬錶時間研究,當觀測時間大於正常時間時,其評比係數應該: (A) 等於 0 (B) 小於 1 (C) 大於 1 (D) 大於 2
14. 在何種狀況下,標準時間可以不用重測? (A) 品質改變 (B) 效率改變 (C) 設備改善 (D) 操作方法改變
15. 大賣場內服務人員工作種類繁多,且不一致性偏高,如此作業的工作衡量方法較適合採 用: (A) 持續觀察法 (B) 碼錶計時法 (C) MTM 法 (D) 工作抽查法
16. 維持工作舒適的事務如喝水、擦汗、更衣、上廁所等所給的寬放屬於: (A) 疲勞寬放 (B) 私事寬放 (C) 遲延寬放 (D) 偶然寬放
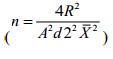
17. 時間研究的正確性決定於時間測計的週程次數,若一作業試行觀測 8 次,其時間分別為8 秒、11 秒、7 秒、10 秒、9 秒、7 秒、8 秒、6 秒,在精度±5%及 d2=3.078 下,請用全距法估算所需觀測的週程數。
(A) 52 次 (B) 62 次 (C) 72 次 (D) 82 次
18. 假設標準工時為每件 5.9 分鐘,若某工人一天工作 8 小時,其產出為 100 件,試問其生 產效率(Efficiency)為何?
19. 某公司運用工作抽查法,試抽測 30 次其某一被測工作之空閒率為 35%,觀測結果的可靠 性希望維持在 95%左右,所容許的誤差為± 3%,則所需的樣本數最少應為若干? (提示: 採無條件進入法
(A) 972 (B) 1072 (C) 1172 (D) 1272
20. 若 mR20B 之時間為 7.1 T.M.U,且若 R20B 之時間為 10.0 T.M.U,則 mR20Bm 之時間為 多少 T.M.U: (A) 2.9 T.M.U (B) 7.1 T.M.U (C) 4.2 T.M.U (D) 5.8 T.M.U
21. 依據速度評比法,以 100%為正常,若評比係數為 90%,平均觀測時間為 4 分鐘,則正常 時間為多少分鐘? (A) 5.6 分 (B) 4.4 分 (C) 3.6 分 (D) 3.0 分
22. 正常工作域是指以下列何者為軸所圍成的區域? (A) 手指 (B) 手腕 (C) 手肘 (D) 手臂
23. 使用流程程序圖分析出問題後,較佳的操作單元改善考量順序應為 (A) 簡化、刪除、合併和重排 (B) 刪除、合併、重排和簡化 (C) 合併、刪除、重排和簡化 (D) 刪除、重排、簡化和合併
24. 僅就某單項工作進行詳細地分析,而非對整個工作製程加以分析,稱為 (A) 時間分析 (B) 程序分析 (C) 作業分析 (D) 動作分析
25. 關於動作研究(motion study)下列何者為非? (A) 創始者為吉爾柏瑞斯夫婦 (the Gilbreths) (B) 旨在消除不必要的動作 (C) 可以定義為操作員人體動作的研究 (D) 將必要的動作給予寬放
26. 下列何者不是使用錄影機進行時間研究的主要目的? (A) 可訓練分析人員進行速度評比 (B) 制定正常時間 (C) 進行流程改善 (D) 對影片中的作業人員進行評比
27. 下列哪一項不屬於變動疲勞寬放的原因? (A) 原物料之硬度 (B) 噪音程度 (C) 工作單調或冗長 (D) 溫度或濕度
28. 在 MTM 的記錄法中,試選出下列情況的正確表示法:將一個十元硬幣放入桌面上的存 錢筒,一開始握硬幣的手就處於移動狀態,一共伸手 50cm,同時肩部發生 10cm 的移動。 (A) mM50C (B) mM40C (C) M50Cm (D) M40Cm
29. 馬錶測時四個操作單元六週期總共耗費: (A) 9 分 (B) 9 分 10 秒 (C) 9 分 42 秒 (D) 10 分 10 秒
30. 承上題,操作單元 1 的正常時間為: (A) 0.20 分 (B) 0.19 分 (C) 0.22 分 (D) 0.25 分
31. 承上題,操作單元 4 的標準時間為: (A) 0.966 分 (B) 1.0916 分 (C) 1.966 分 (D) 2.0916 分
32. 某一半自動機械的資料如下,每次裝卸料需 0.2 分鐘,走到另一機械,需 0.1 分鐘,機 械加工時間是 0.6 分鐘,若機器不閒置、一人最多操作幾台? (A) 2 (B) 3 (C) 4 (D) 5
33. 某工廠製造一種香水瓶,瓶頸作業為退火。每個香水瓶均需經過 1.5 小時的退火過程。 退火爐每日開機 9.5 小時。前 8 小時的正常進料速度為每 30 秒 2 瓶,8 小時後即停止進 料。考慮每日初開機需耗時加熱至一定温度,且運轉中亦可能有温度不穩或轉速不穩的 情況,故設定外乘法寬放率 10%。請計算該工廠每日生產該種香水瓶的數量。 (A) 1066 瓶 (B) 1745 瓶 (C) 2133 瓶 (D) 3491 瓶
34. 請利用下面的 MTM 表格計算動素 mR20Am 的時間值。
(A) 7.8 TMU (B) 6.9 TMU (C) 6.5 TMU (D) 5.2 TMU
申論題 (0)
相關試卷
114年 - 114-1 中國工業工程學會工程師證照考試:工作研究#134904
114年 · #134904
113年 - 113-1 中國工業工程學會工程師證照考試:工作研究#134911
113年 · #134911
112年 - 112-1 中國工業工程學會工程師證照考試:工作研究#134910
112年 · #134910
111年 - 111-1 中國工業工程學會工程師證照考試:工作研究#134903
111年 · #134903
108年 - 108-1 中國工業工程學會工程師證照考試:工作研究#124588
108年 · #124588
107年 - 107年第一次中國工業工程學會工程師證照考試-工作研究#73994
107年 · #73994
106年 - 106年第一次中國工業工程學會工程師證照考試 -工作研究#73998
106年 · #73998
104年 - 104年第一次中國工業工程學會工程師證照考試 #82012
104年 · #82012
102年 - 102年第一次中國工業工程學會工程師證照考試-工作研究#16159
102年 · #16159
101年 - 工作研究#16177
101年 · #16177