阿摩線上測驗
登入
首頁
>
通信系統
> 103年 - 103年高等三級暨普通考高考三級_電信工程#32493
103年 - 103年高等三級暨普通考高考三級_電信工程#32493
科目:
通信系統 |
年份:
103年 |
選擇題數:
0 |
申論題數:
10
試卷資訊
所屬科目:
通信系統
選擇題 (0)
申論題 (10)
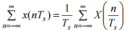
【已刪除】⑴證明對任意訊號x(t)及任意Ts,以下的等式成立。(15 分)
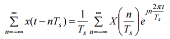
【已刪除】⑵由⑴之結果證明以下的等式成立。(5 分)
⑴算出s(t)之傅立葉級數。
⑵算出u(t)。
⑴算出該訊號之匹配濾波器(matched filter)之脈衝響應(impulse response),並 畫出該脈衝響應。
⑵當輸入為s(t)時,算出匹配濾波器在t = T 之輸出。
⑴假設 s
0
(t) 及 s
1
(t) 發生的機率分別為 p及1− p。使用相關器(correlator),畫出最 佳解調器方塊圖,並決定最佳之閾值λ。
⑵此系統之錯誤機率與訊號雜訊比(signal-to-noise ratio, SNR)有關。假設 p = 0.5, 請算出其錯誤機率與訊號雜訊比之函數。
⑴此通道之通道容量(channel capacity)為多少位元?
⑵考慮通道編碼(channel coding)使用長度為 3 的重複碼(repetition code),也就 是使用碼字集合為C = {[0, 0,0],[1,1,1]}在 BSC 上進行傳輸。若 BSC 之參數p = 0.6, 且接收端知道參數 p。若接收向量為[1,1, 0],求最大相似(maximum likelihood, ML) 碼字(須有完整推導過程)。
相關試卷
114年 - 114 地方政府公務特種考試_四等_電信工程:通信系統概要#134755
114年 · #134755
114年 - 114 地方政府公務特種考試_三等_電信工程:通信與系統#134723
114年 · #134723
114年 - 114 公務升官等考試_薦任_電信工程:通信與系統#133270
114年 · #133270
114年 - 114 調查特種考試_三等_電子科學組:通信與系統#129592
114年 · #129592
114年 - 114 高等考試_三級_電信工程:通信與系統#128757
114年 · #128757
114年 - 114 普通考試_電信工程:通信系統概要#128733
114年 · #128733
113年 - 113 地方政府公務特種考試_四等_電信工程:通信系統概要#124540
113年 · #124540
113年 - 113 調查特種考試_三等_電子科學組:通信與系統#122111
113年 · #122111
113年 - 113 普通考試_電信工程:通信系統概要#121514
113年 · #121514
113年 - 113 高等考試_三級_電信工程:通信與系統#121501
113年 · #121501