所屬科目:國中會考基測◆數學科
3. 已知在數線上, O 為原點, A、B 兩點的座標分別為 a 、b 。利用下列 A、B 、O 三 點在數線上的位置關係,判斷哪一個選項中的|a|<|b|? (A) (B) (C) (D)
4. 有一長條型鏈子,其外型由邊長為 1 公分的正六邊形排列而成。圖(一)表示此鏈之任一 段花紋,其中每個黑色六邊形與 6 個白色六邊形相鄰。若鏈子上有 35 個黑色六邊形,則 此鏈子共有幾個白色六邊形?
(A) 140 (B) 142 (C) 210 (D) 212
5. 圖(二)中有直線 L 截過兩直線 L1 、 L2 後所形成的八個角。 由下列哪一個選項中的條件可判斷 L 1// L 2 ?
(A) ∠2 + ∠4 = 180° (B) ∠ 3+ ∠ 8 = 180 ° (C) ∠ 5 + ∠ 6 = 180 ° (D) ∠7 + ∠8 = 180 °
7. 在五邊形 ABCDE 中,若∠A=100 ° ,且其餘四個內角度數相等,則 ∠C = ? (A) 65° (B) 100° (C) 108° (D) 110°
8. 圖(三)是小方畫的正方形風箏圖案,且他以圖中的對角線為對稱軸, 在對角線的下方畫一個三角形,使得新的風箏圖案成為一對稱圖形。 若下列有一圖形為此對稱圖形,則此圖為何?(A) (B) (C) (D)
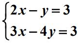
10.若二元一次聯立方程式 的解為 x=a,y=b,則 a+b=? (A) 1 (B) 6 (C) (D)
11.一籤筒內有 21 支籤,號碼分別是 1 ~ 21號,且每支籤被抽出的機會相等。 若從籤筒中任意抽出一支籤,則下列有關機率的敘述何者錯誤? (A)抽中 2 的倍數的機率為 (B)抽中 3 的倍數的機率為(C)抽中 6 的倍數的機率為 (D)抽中 7 的倍數的機率為
12.圖(四)表示數線上不等式 x -1< 0 解的範圍,則下列選項中, 何者可表示數線上不等式 3x+15> 5x-9 解的範圍?
(A) (B) (C) (D)
13.如圖(五),在水平桌面上有甲、乙兩個內部呈圓柱形的 容器,內部底面積分別為 80 cm2 、 100 cm2 ,且甲容 器裝滿水,乙容器是空的。若將甲中的水全部倒入乙 中,則乙中的水位高度比原先甲的水位高度低了 8cm , 求甲的容積為何? (A) 1280cm3 (B) 2560cm3 (C) 3200cm 3 (D) 4000cm 3
14.圖(六)為小美影印資料時剩下張數和時間的關係圖。 利用圖中所提供的數據,推估小美在 9:00 時影印的 情形是下列哪一種?
(A)來不及印完 (B)剛好印完 (C)提前一分鐘印完 (D)提前半分鐘印完
17.下列哪一個數值最小? (A) (B) (C) (D)
18.圖(七)的正方形內有 9 個數字, 數字的總和為 y ,求圖(八)中 五個正方形內所有數字的總和 為何?(以 y 表示)
(A) 5 y (B) 5y + 9 (C) 5( y +9) (D) 5 y +18
19.如圖(九),甲、乙兩人在同一水平面上溜冰,且乙在甲的 正東方 200 公尺處。已知甲、乙分別以東偏北 70°、 西偏北 60° 的方向直線滑行,而後剛好相遇,因而停止滑 行。對於兩人滑行的距離,下列敘述何者正確?
(A)乙滑行的距離較長 (B)兩人滑行的距離一樣長 (C)甲滑行的距離小於 200 公尺 (D)乙滑行的距離小於 200 公尺
20.甲、乙、丙、丁四位同學分別想依下列的條件作出一個 與 △ABC 全等的三角形,如圖(十)所示。已知四人 所用的條件如下:
甲: = 1 公分,∠B=30 °
乙:公分, = 2 公分,∠B=30 °
丙:= 2 公分
丁:= 2 公分, ∠ A= 90 ° 若發現其中一人作出來的三角形沒有與圖(十)的△ABC 全等,則此人是誰?
(A)甲 (B)乙 (C)丙 (D)丁
21.阿良將全校學生某次數學成績分成 1~15、16~30、31~45、46~60 四組,並製成圓形 圖,其中該校數學成績的第 25、50、75 百分位數分別為 14、32、45。若下列有一選 項為此資料的圓形圖,則此圖為何? (A) (B) (C) (D)
22.以下是甲、乙兩人證明的過程:
(甲)因為
所以 >3+2=5
且 ,故得證
(乙)作一個直角三角形,兩股長分別為。
利用勾股定理 ,
得斜邊長為
因為 為此三角形的三邊長
所以 ,故得證
對於兩人的證法,下列哪一個判斷是正確的? (A)兩人都正確 (B)兩人都錯誤 (C)甲正確、乙錯誤 (D)甲錯誤、乙正確
23.如圖(十一),在地面上有一個鐘,鐘面的 12 個粗線刻度是 整點時時針(短針)所指的位置。根據圖中時針與分針(長針) 的位置,該鐘面所顯示的時刻在下列哪一範圍內? (A) 3 點~4 點 (B) 6 點~ 7 點 (C) 8 點~9 點 (D) 10 點~11 點
24.圖(十二)中,過 P 點的兩直線將矩形 ABCD 分成 甲、乙、丙、丁四個矩形,其中 P 在 上,且 = 4:3 。下列對於矩形是否 相似的判斷,何者正確? (A)甲、乙不相似 (B)甲、丁不相似 (C)丙、乙相似 (D)丙、丁相似
25.在算式 的□中,填入下列哪一個運算符號,可使計算出來的值是 最小的? (A) + (B) - (C) ✖ (D)÷
26.如圖(十三), 為圓 O 的直徑。甲、乙兩人想在圓上找 B 、C 兩點,做一個正三角形 ABC,其作法如下: 甲:
1.作 中垂線,交圓於 B 、C 兩點
2.連 ,△ABC 即為所求。
乙:1.以 D 為圓心, 長為半徑畫弧,交圓於 B 、C 兩點
2.連 ,△ABC 即為所求。 對於甲、乙兩人的作法,下列判斷何者正確?
(A)甲、乙皆正確 (B)甲、乙皆錯誤 (C)甲正確,乙錯誤 (D)甲錯誤,乙正確
1. 如圖(十四),將一白繩的 與一紅繩的重疊並以膠帶黏合, 形成一條長為 238 公分的繩子。求未黏合前,兩繩長度 相差多少公分?請寫出您的計算過程。
2. 如圖(十五),有一個立體物品由兩片三角形 ABC 、 ACD 組合而成,其中∠ABC= ∠ACD= 70° , ∠ ACB= ∠ADC=50 °。請比較 △ABC 、 △ACD 的面積,何者較大?並說明理由。