所屬科目:國中會考基測◆數學科
1. 在一個給定的等腰直角三角形內作內接正方形有兩種方法, 如右列二圖,圖(1)方法作出的正方形的面積是441, 則按圖(2)方法作出來的正方形面積是________。
2. 如圖,ABCD是邊長為1的正方形,APBC 為正三角形,則∆BPD的面積為________。
3.方程式x²+ax+b=0有兩實根a、β,且α2丶 β² 也是原方程式的根,則數對(a,b) =________。
4.有一數列10,2,5,2,4,2,x,若將此數列之算術平均數、中位數及眾數由小到大排列, 恰好形成一公差大於0之等差數列,則所有可能的x之總和為________。 (中位數:將一組數據從小到大排列之後,排在正中間位置的數,稱為這組數據的中位數。)
5.令a,b,c為三實數滿足a-7b+8c=4,8a+4b-c=7,則a²-b²+c² =________。
6. 設函數f定義如表:若u0=4且對所有n≥0,恆成立, 則u₁₁₃ =________。
7. 設a=, 且b= , 則a-b最接近的整數為________。
8. 如果1,x,y 構成一個等比數列且x,y,3 構成一個等差數列,則x+y的最大值為________。
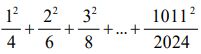
9. 試問滿足= 2024的整數解有________ 組。
10.從1到2024 的整數中任選一數,試問選出的數,在各個位數皆沒有出現4、5、6的數總共有________ 個。
11. 在25m+17n=1623的所有整數解中,若取n為最接近2024的整數時,此時m的值為________。
12. 對於任意實數x,以[x]表示不大於x的最大整數。例如:[3.5]=3,[-3.5]=-4。 若今有三實數x,y,z,滿足[x]=5,[y]=0,[z]=2,則[x+y-z]的所有可能的值為________。
13. 甲、乙、丙三人進行一次猜拳,已知猜拳的結果為一人贏、兩人輸。此時:甲說:「乙出布」,乙說:「丙出布」。 且贏的人總是說實話,輸的人總是說謊話,請問乙出的拳是________。(請填剪刀、石頭或布)
14. 有一五角星如圖,求線段的長度為________ cm。
15. 將兩個連續的二位數直接拼成一個四位數,這樣的四位數稱為「有趣數」, 例如:1314(後兩位數為前兩位數再加1)、8887(後兩位數為前兩位數再減1)。 試問所有「有趣數」的平均為________。
(1) ∆APQ 為正三角形時,是自A出發後_________秒。(5分)
(2) 若∆APQ的面積恰為6平方公分時,是自A出發後_________秒。(5分)
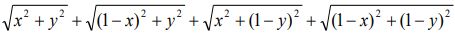
2.(1) a,b,c,d皆為正數,試證明不等式(提示:畫圖或坐標化)
(2) 試問在(1)的不等式中,等號成立的條件為何?(2分)
(3)當x,y 皆為小於1的正數時,試求出的最小值,以及此時的數對(x,y),請詳細說明原因。(7分)