所屬科目:國中會考基測◆數學科
7. 甲乙丙丁四個人分別喜歡籃球、羽球、桌球、游泳其中之一的運動(並未依照順序),且每個人都只固定做同一種運動。已知籃球場星期一不開放、羽球場星期二不開放、桌球場禮拜四不開放,而游泳池則是星期二、四、六時不開放。某天這四個人聚在一起聊天,內容如下:甲:「今天我要去運動,不然明天就不能去了。」 乙:「今明兩天我都會去運動。」丙:「今天我要去運動,前天我也有去。」丁:「從這個星期一到今天為止,我每天都有去運動。」下列選項中正確的有_ (答案可能不只一個)。(A) 上文中的「今天」是星期二。 (B) 甲從事的運動是游泳。(C) 乙從事的運動是桌球。 (D) 丙從事的運動是羽球。(E) 丁從事的運動是籃球。
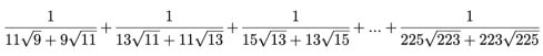
1. 的值為______。
2. 定義一組數據的中位數為:「將資料由小排到大之後,若有奇數筆資料,則取正中間的數字作為中位數,若有偶數筆資料,則取正中間的兩筆資料的平均作為中位數」。有一組數據記錄了六個學生在一分鐘內能做的仰臥起坐的次數:26, 28, 23, 32, 16, 28, 若這六筆數據中只有一筆數據記錄錯誤,已知正確的資料平均為26, 中位數為28。令記錄在上面的錯誤數據為x, 此數據的正確值為 y, 試求出數對(x, y) =_______。
3. 有連續五個正整數,其乘積為2441880,則此五個數中最小的數為_______。
4. 2342、2894、3561 這三個整數,同時除以某一個異於1以外的正整數 a後,皆會留下相同的餘數b,試求出數對 (a, b) =_______。
5. 試問滿足32-x+=7 的整數解 (x, y)有_______組。
6. 若有一矩形的周長為30,試求出此矩形的最大可能面積為_______。
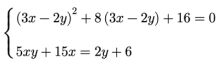
8. 已知x, y皆為實數,試解聯立方程式。
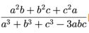
9. a, b, c為三個不為0的實數,且(2a+b-c)2=6ab-3bc-6ac。試問的值為_______。
10. 已知 I 為 ∆ABC 的三條角平分線的交點,且。若∠BCA = 48°,試求出 ∠ABC 的度數為________。
11. 假設 x 為正整數,函數 f(x) 之定義方式如: f(1) = 1, f(2n) = f(n), f(2n + 1) = (f(n))² −2,試問f(1) + f(2) + f(3) + … + f (2023)之值為_________。
12. 如右圖,繪製兩個全等的正三角形,並將其中之一旋轉180°後重疊,圍出一個六角星形的圖案,並將每個交點都編上A~L的編號。試問從右圖中的12個點中任取相異三點,此三點不能圍出一個三角形的取法數有_____種(例:A、G、H即為其中一種取法)。
13. 圖中有一圓心角為138°的扇形AOB,在此圓周上取兩相異點C、D, 若將此扇形沿對折後,能使得D點與0點重合,試求出 ∠OAD 的度數為________。
14. 如右圖,ABCD 為長方形,已知 = 10, = 40。若且∠CEB = 90°,試問此時∠FEH 的度數為__________。
15. 試求出 f(t,s) =的最小值為_________。
1.設a₁,a2,b₁,b₂ 皆為實數,且方程組有相同的解,則a₁a₂ + a₁b₂ + a₂b₁+b₁b₂的值為何?(5分)
(1)利用兩個同高不同底的三角形面積比即為其底邊比的性質,試證明右圖中(△ABC的面積):(△APR 的面積) =(5分)
(2)如右圖,已知 ,試問當為多少時,△PQR 的面積會有最小值?又此時△PQR 的面積與∆ABC的面積的比值為何?(7分)
(3)如右圖,已知△ABC的面積為80,△APR的面積為10,△CQR的面積為35, = 12, = 20。令的交點為G,試問長度是長度的幾倍?(8分)