所屬科目:國中會考基測◆數學科
1. 現有一群整數,將15這個整數加入這一群整數後,這些數字的平均較原先增加2。不將15這個整數取出。 再將1這個整數加入這一群整數後,這些數字的平均較先前的平均減少1,試問原先有多少個整數?
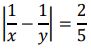
2. 若兩相異正整數x、y滿足,試求出的個位數為?
3. 如示意圖,長方形ABCD 內部有一點P,滿足 試求出的長度之值為?
4. 若實數數對 (x, y, z) 恆滿足 x+y-z = 1,2x - 2y + z = 1。若 ax² + by² + cz² = 1 恆成立, 試求出實係數數組(a,b,c)?
5. 試問有多少個整數可以使得 n³ - 8n² + 20n-13 為質數?
6. 設α、β、γ為 x³ − 3x² – 5x + 6 = 0 的三個根,試求出 (α⁴ − 3α³ − 5α² + 7α + 1)(β⁴ – 3β³ – 5β² + 7β + 1)(γ⁴ − 3γ³ – 5γ² + 7γ + 1) 之值為多少?
7. 如示意圖,L1、L2、L3 為三條平行線。 其中L1、L2之間的距離為2,L2、L3之間的距離為4。 A、B、C三個點分別在L1、L2、L3 上,且∆ABC 為正三角形。 試求出△ABC的面積為?
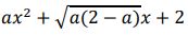
8. 已知a 為實數,且 f(x) =的圖形是一個拋物線。試求出當此拋物線頂點在直線x-2y + 4 = 0上時,a的值是多少?
9. 有一個二次多項式 f(x) = ax² + bx + c,已知 f(x) 的係數與 f(x) = 0 的根皆為整數,且f(0) = 0、f(15) = 225,試問滿足這些條件的 f(x) 共有幾組?
10. 如示意圖,圓心在 A,半徑為 1 的圓和圓心在 B,半徑為 3 的圓相外切。 第三個圓與前兩個圓都相外切,且與此二圓的一條外公切線也外切。 試求出三塊斜線部分的周長總和? (請將答案寫成含 π 與不含 π 之兩部分的和或差)
11. 如示意圖,在長方形 ABCD 中,= 8,= 9。 H 在上使得= 6,E 在上使得= 4。 直線與直線相交於點 G,且 F 在 上使得。 試求出的長度之值。
12. 定義「@」是一個新的運算符號,其運算的規則為:a@b =,試求 (1@2) + (2@3) + (3@4) + … + [n@(n + 1)] + … + (2024@2025) – 2024 之值為?
13. 如示意圖,四邊形 ABCD 是一個平行四邊形,= 10。 在上取中點為 M,將 C、M 二點連成。 在上取一點 N 使得= 4、= 2,將 D、N 二點連成。交於點 E。試求出的長度與的長度的比值為? (需化簡為最簡單整數比)
14. 在四位數字中,有些數字中的各個位數的數字都不會重複,如:2019,有些數字則在某些位數會重複使用到同一數字,如:2024。將這些會重複使用到某些數字的四位數稱為「好玩數」,試問在 1000 到 9999 的數字中,最多會有幾個「好玩數」連續出現?(如:從 2020 到 2030 連續出現了 11 個「好玩數」,而從 2199 到 2300 連續出現了 102 個「好玩數」)
15. 如示意圖,長方形 ABCD 的對角線上有一點 E, 將 D、E 二點連成後,再在此線段上取一點 F。 再將 B、F 二點連成後,令和的交點為 G 點。 已知 △AED 的面積是 60 平方單位,△ABG 的面積是 100 平方單位, △EGF 的面積是 15 平方單位,試求出 △FBD 的面積是多少平方單位?
二、計算證明題: 1. 在數學中,如果有看到「率」這個字,多半都是與「比值」有關,如:速率是距離和時間的比值、勝率是獲勝場數和總場數的比值,百分率是部分和全體的比值......等等。請回答下列問題。(1)若說圓周率π是A和B的比值,請將A和B的中文名稱寫出來(注意:有順序之分)。
(2)承(1),下面三張圖分別是圓內接正六邊形、圓內接正八邊形,以及圓內接正十邊形的示意圖。 試參考下圖,說明出一種用以估計A的方法。(4分)
(3)證明:π > 3.09。(6分)
2. (1) 設x 是整數,試證明:除了x=1 或x = -1之外,x⁴ +4為合數(不是質數)。
(2)試用(1)中的結論,若,試求出p的值。